Hastighetsberegninger
Publisert: 16. september 2013
Oppdatert: 4. februar 2025
1 Innledning
Siden jernbanen først ble bygget har forutsetningene for bruksområder endret seg drastisk. Selv om dagens transporttilbud er mange og varierte, ligger det fortsatt et behov for stadige utvidelser. Skal jernbanen kunne delta i dette kappløpet, må den vise seg effektiv nok til å konkurrere med andre transportmidler, og dette setter høye krav til tidsbesparelser og dermed hastighetsøkninger.
1.1 Hva begrenser hastigheten?
Vi skal i dette kapitlet hovedsakelig vise hvordan man kan regne ut den maksimale hastigheten et tog kan holde utfra eksisterende horisontalgeometri og de dimensjonerende parametre som gjelder der. Denne delen av sporgeometrien forutsettes derfor kjent (jf. Sporgeometri).
I tillegg skal vi se på hvilke betraktninger som kan gjøres utfra å variere overhøyden i en kurve. I prosjekteringssammenheng er det også ofte naturlig å variere (forlenge) overgangskurvens lengde, men dette aspektet blir ikke behandlet her. Det vises for øvrig til L531 Kap. 4 – Linjeoptimalisering (finnes denne?).
I horisontalkurvaturen finnes også en del ulike kurvekombinasjoner som gir begrensninger mht. tillatt hastighet. Eksempelvis på stasjonsområder og i sporveksler har vi ofte kurver uten overgangskurver, og vi betrakter da kun et sirkelelement, der de dimensjonerende parametre ofte har lavere toleranser enn ellers.
Hastighetsbetraktninger i stigning og fall vil hovedsakelig avhenge av det rullende materiell, og med dagens materiell blir som regel ikke vertikalgeometrien begrensende for fremføringen.
1.2 Problemdefinisjon
I det følgende skal vi først og fremst konsentrere oss om hastighet utfra horisontalgeometrien på hovedspor. Generelt vil en enkel kurvekombinasjon bestå av elementene overgangskurve – sirkel – overgangskurve. Det kan også tenkes at en kurve er sammensatt av to eller flere, ensrettede sirkelelementer med mellomliggende overgangskurver.
Når vi videre skal behandle kurver med tilstøtende overgangskurver, forutsetter vi at det ikke er sprang i overhøyde og radius i OB (overgangskurvens begynnelse) og OE (overgangskurvens ende). Spesielt merker vi oss at radius og overhøyde er konstante gjennom sirkelelementet, og at de varierer lineært gjennom hhv. overgangskurven og overhøyderampen. Dessuten er det et krav at overgangskurven og overhøyderampen skal falle sammen.
Vi forutsetter også at hastigheten er lik gjennom alle elementene i den kurven vi ser på. Dette begrunner vi ut fra at de enkelte kurveelementene normalt sett er for korte til at man kan ha separate hastigheter i hver av disse. En konsekvens av dette er at den maksimale hastigheten, og dermed geometrien, i kurver som ligger nær hverandre ideelt sett ikke bør være for ulik.
For å oppsummere forutsetter vi altså:
- ingen sprang i overhøyde og radius
- at overhøyde og radius varierer lineært med lengden i henholdsvis overhøyderampen og overgangskurven
- at overgangskurven og overhøyderampen faller sammen
- konstant hastighet gjennom hele kurven
2 De enkelte traséelementenes hastigheter
2.1 Rettlinjen
Så lenge sporet er fullt ut riktig justert og nøytralisert, vil ikke økt hastighet på rettlinje innebære noen økt belastning hverken på spor eller materiell. På rett spor alene blir derfor materiellets maksimalhastighet eller andre deler av infrastrukturen (kontaktledning, overbygningsklasse m.m.) dimensjonerende.
2.2 Sirkelkurven
I en perfekt sirkelkurve er overhøyden og sideakselerasjonen i vogna konstant. Utover den maksimalt tillatte overhøyden på 150 mm, blir kravet til manglende overhøyde I (ev. overhøydeoverskudd) dimensjonerende. Tilsvarende kan vi si at maksimalkrav til ukompensert sideakselerasjon blir dimensjonerende. Den maksimale hastigheten i sirkelkurven er da gitt av sporgeometrien ved:
(1)
Innsatt de faste verdiene, og uttrykt ved km/h får vi:
(2)
Tabell 1 angir maksimal manglende overhøyde for eksisterende baner, konvensjonelt materiell ved ulik overbygning slik kravene var per mai 2017 (hentet fra Dimensjonerende parametre – eksisterende baner i Teknisk regelverk: Overbygning/Prosjektering/Sporets trasé(åpnes i ny fane)).
Tabell 1: Verdier for Imaks og hmaks
| Overbygningsklasse | Kurveradius [m] | Imaks[mm] | hmaks[mm] |
|---|---|---|---|
| b | 100 | 150 | |
| c og d | R < 290 | 100 | 150 |
| 290 ≤ R ≤ 600 | 130 | ||
| R > 600 | 150 |
2.3 Overgangskurven
I overgangskurven virker både statiske og dynamiske parametre. Overhøyden h og rampestigningen, satt til 2.5 ‰, er fastlagte størrelser, mens rampestigningshastigheten dh/dt og rykket dI/dt vil variere med hvilken hastighet materiellet har gjennom kurven. I prosjekteringssammenheng er vi som regel opptatt av overgangskurvens lengde L, som på grunn av de ovennevnte parametrene direkte avgjør hvor høy hastighet vi kan holde gjennom kurven.
Lengde utfra rampestigningen alene er gitt ved:
(3.3)
Krav til rampestigningshastigheten dh/dt settes av hensynet til komfort og sikkerhet mot avsporing. Istedenfor krav til rampestigningshastighet kunne man satt krav til vridningshastighet (dvs. med hvilken hastighet vridningsvinkelen skal endres). Dette kravet gir en nødvendig lengde:
(3.4)
Av komforthensyn settes en øvre grense for rykk. Ligning 3.5 gir nødvendig lengde mhp. rykket:
(3.5)
Vær oppmerksom på at verdien for I må settes inn med den verdien som gjelder for den tilhørende sirkelkurven.
Dersom overgangskurven binder sammen to ensrettede sirkler med ulike radier må h og I erstattes av hhv.ogi formlene ovenfor.
Den største verdien av de tre ligningene ovenfor gir minste nødvendige lengde av overgangskurven, dvs.
(3.6)
Snur vi litt på ligningene 3.4 og 3.5, får vi de alminnelige formlene for maksimal hastighet i km/h utfra rampestigningshastighet og rykk:
(3.7)
(3.8)
Dersom vi betrakter en kurvekombinasjon med bare én sirkelkurve, faller h1 og I1 bort. Differansen gjelder for kombinasjonskurver.
3 Samspill mellom hastigheten i ulike element
3.1 Dimensjonerende element – én hastighet
Den maksimale hastigheten gjennom kurven kan man finne ved å regne ut maksimalhastigheten i de enkelte elementene og deretter sette at maksimalhastigheten for hele kurven er lik den minste av hastighetene i enkeltelementene. For en kurve av type overgangskurve-sirkel-overgangskurve, som er det vanligste, vil det likevel være tilstrekkelig å regne ut maksimalhastighetene i sirkelelementet og den korteste av de to tilhørende overgangskurvene. Dette kan vi begrunne med at den korteste overgangskurven vil gi toget mindre tid til å bygge opp overhøyde og ukompensert sideakselerasjonen i forhold til den lengste, og følgelig blir det den korteste som får lavest maksimalhastighet av de to overgangskurvene.
Når vi nå i de neste avsnittene skal gå løs på detaljene, er det derfor den korteste overgangskurven og det tilhørende sirkelelementet som er av interesse.
Med utgangspunkt i hastighetsformlene for hhv. sirkelkurven og overgangskurven fra forrige avsnitt, ligningene 3.2, 3.7 og 3.8, skal vi se på to geometriske tilfeller:
- Kjent geometri, dvs. R, L og h er kjent.
- Overhøyden h er ukjent, men R og L er kjent.
3.2 Å finne Vmaks når geometrien er kjent
Geometrien er her i sin helhet fastlagt. Oppgaven blir altså å finne maksimalhastigheten med gitt geometri, dvs. hvor fort vi kan kjøre på et eksisterende spor.
3.2.1 Sirkelkurven

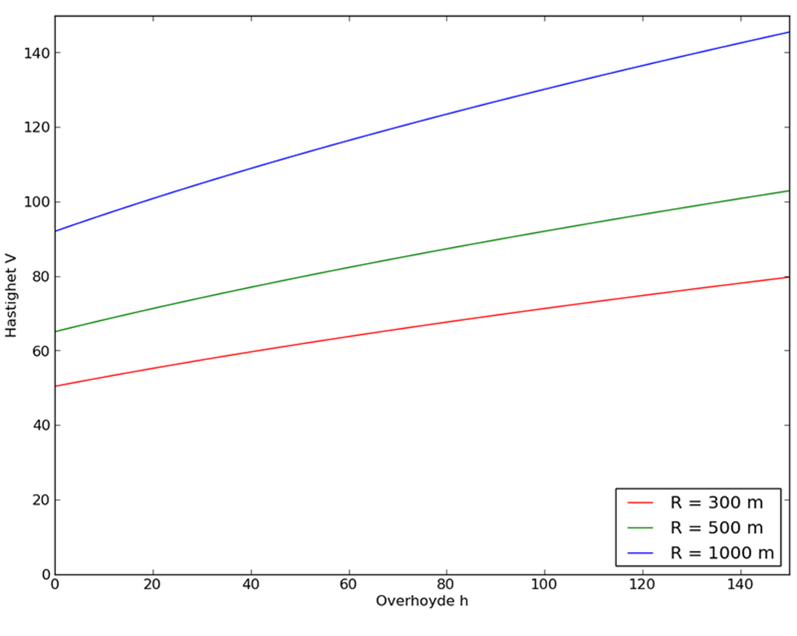
I ligning 3.2 så vi hvordan krav til overhøyden og den manglende overhøyden satte begrensninger på hastigheten i sirkelkurver. Videre i dette kapitlet skal vi gjøre oss nytte av grafiske framstillinger for å illustrere hvordan maksimalhastigheten varierer med overhøyden for de ulike traseringselementene. For sirkelelementet er denne sammenhengen vist i figur 1.
I praksis vil det lønne seg å sjekke om togene kan trafikkere overgangskurvene med den hastigheten som blir gitt av sirkelelementet (ligning 3.2) før man eventuelt går videre og regner ut hastigheten for overgangskurven. Dette kan man gjøre ved å sette hastigheten for sirkelelementet inn i likningene for nødvendig lengde av overgangskurven (ligning 3.4 og 3.5). (Dessuten kan vi også godt sjekke for rampestigningen. Dog bør denne kontrollen være unødvendig med helt fastlagt geometri, hvis ikke geometrien er ulovlig. I så fall er sporet prosjektert/bygget med for stor overhøyde i forhold til overgangskurvens lengde). Dersom det da skulle vise seg at den nødvendige overgangskurvelengden er mindre enn den som opptrer ute i sporet, er alt OK, og vi slipper da å beregne hastigheten for overgangskurven. Man kan da si at det er sirkelelementet som setter begrensninger på hastigheten i kurven som helhet. I motsatt fall, at sirkelkurvehastigheten ikke gir tilstrekkelig overgangskurvelengde, vil det være overgangskurven som setter begrensninger på hastigheten i kurven. Følgelig blir vi nødt til å regne spesifikt på hastigheten i den dimensjonerende (korteste) overgangskurven.
3.2.2 Overgangskurven
Dersom overgangskurven er for kort, vil maksimalverdiene for hhv. rampestigningshastighet og rykk gjøre at den dimensjonerende overgangskurven ikke kan trafikkeres med så høy hastighet som sirkelelementet.
Vi forutsetter at overgangskurven har gitt lengde og at det tilhørende sirkelelementet har gitt overhøyde. Maksimalhastigheten kan vi da finne med utgangspunktet i likningene 3.7–3.8.
Rampestigningen setter krav til hvor lang overhøyderampen må være. Dersom gitt (opptredende) lengde på overgangskurven skulle vise seg å være mindre enn dette, kan ikke strekningen trafikkeres og følgelig blir hastigheten null!
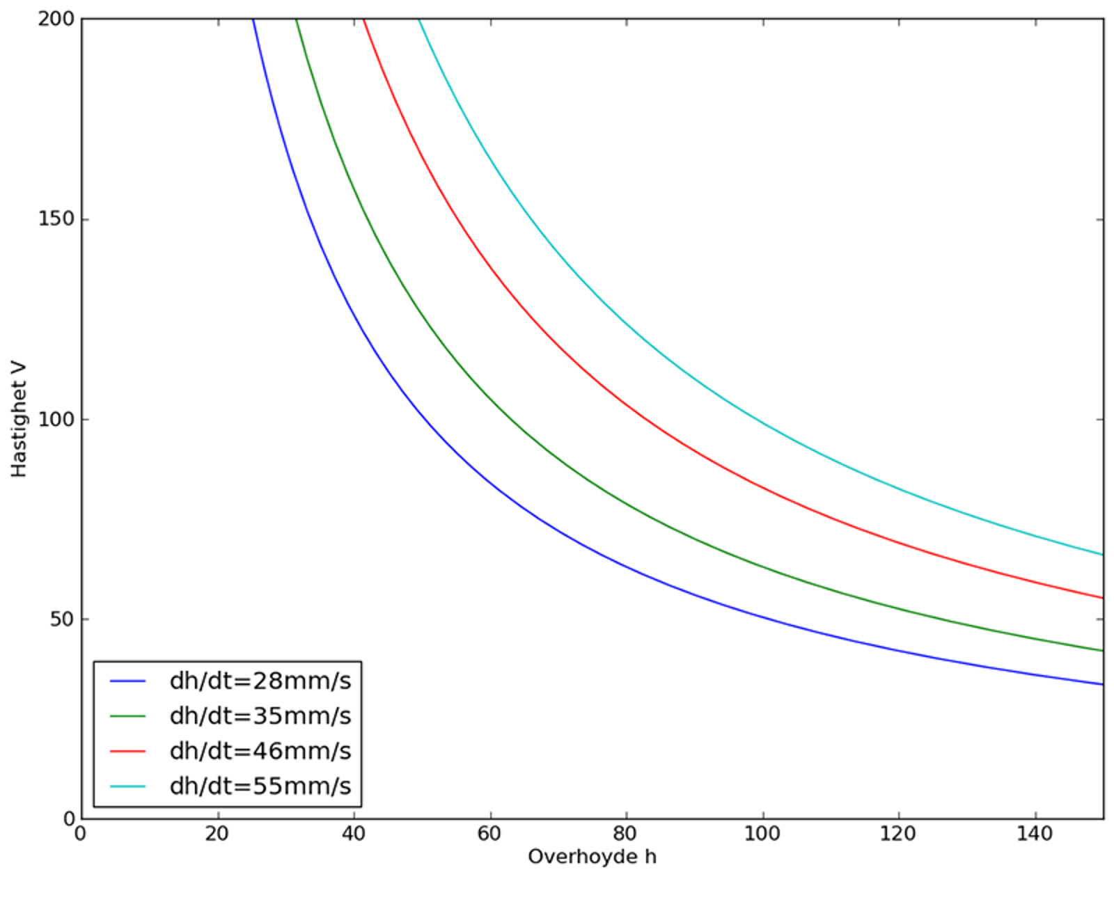
Utfra kravet til rampestigningshastigheten kan maksimalhastigheten som funksjon av overhøyde, gitt i ligning 3.7, vises grafisk som i figur 2 og 3. Hastigheten vil gå asymptotisk mot null når overhøyden øker.


Utfra rykket kan vi ikke uten videre utlede hastigheten direkte fra ligning 3.8, siden den manglende overhøyden I selv er avhengig av hastigheten. Dette ser vi av ligning 3.9, som gjelder både for overgangskurver og sirkelelementer:
(3.9)
For overgangskurver må R og h forstås som størrelser i ett bestemt punkt på kurven.
Dersom vi tar utgangspunkt i ligning 3.8, kan vi uttrykke den manglende overhøyden i overgangskurvens ende (OE) som:
(3.10)
I OE må 3.9 og 3.10 gjelde samtidig, og vi setter de respektive uttrykkene for I lik hverandre og løser deretter ligningen implisitt for hastigheten:
(3.11)
Vi ser at hastigheten V inngår på begge sider i likningene 3.11, og vi må derfor tippe en løsning V0 og deretter iterere for å finne V. Iterasjon nr. n gir da:
(3.12)
Vi kunne ha løst ut hastigheten direkte, men det viser seg at vi da må løse en tredjegradslikning mhp. V, og løsningsprosedyren for en slik likning er mer komplisert enn den iterasjonsmetoden vi har benyttet ovenfor.
Iterasjonen av v konvergerer ganske raskt for fornuftige valg av v0. Vanligvis kreves det ikke større nøyaktighet enn at første desimal etter komma er riktig, og iterasjonen kan derfor avbrytes når første desimal er sikkert bestemt.
Kan det sies noe generelt om valg av v0? Hastigheten gitt av rampestigningshastigheten (ligning 3.7) kan være et brukbart valg. Likeså kan den øvre grensen for hastigheten gjennom det tilhørende sirkelelementet være et greit valg. Fornuftig valg av V0 er sjelden noe problem i det aktuelle tilfelle.

Vi skal også for rykk illustrere grafisk maksimalhastigheten som funksjon av overhøyden. Problemet er at vi ikke kan gjøre dette direkte, jf. ligning 3.12. Vi tar derfor utgangspunkt i uttrykket til venstre i ligning 3.11 og uttrykker den inverse relasjonen, dvs. overhøyde som funksjon av hastighet:
(3.13)
For å få en sammenlignbar figur lar vi likevel overhøyden bli førsteakse og hastigheten annenakse, og vi får dermed den grafiske framstilling vist i figur 4.
Den laveste hastigheten av disse tre tilfellene vil være den hastigheten som overgangskurven maksimalt kan trafikkeres med. I praksis er rampestigningen sjelden noe problem, og det vil derfor være den laveste hastigheten i forhold til rampestigningshastighet og rykk som blir avgjørende.
Hastigheten blir rundet av nedover til nærmeste 5 km/h.
3.2.3 Regneeksempel 1: Å finne Vmaks når R, L og h er kjent
Vi skal se på en eksisterende strekning med overbygningsklasse c. Det aktuelle strekningsavsnittet har en overgangskurve med lengde L = 80 m og det tilhørende sirkelelementet har radius R = 500 m og overhøyde h = 100 mm. Regn ut den maksimale hastigheten som kan holdes gjennom kurven som helhet.
Fra tabell 3.7 i avsnitt 6.1 (vedlegg) finner vi følgende grenseverdier: dh/dtmaks = 55 mm/s, Imaks = 130 mm, dI/dt maks = 80 mm/s.
Sirkelelementet
Maksimal hastighet blir:
Overgangskurven
Sjekker i forhold til krav til nødvendig lengde på overgangskurven:
1) Krav til rampestigningshastighet gir:
2) Krav til rykk gir:
I dette tilfellet er det altså sirkelelementet som begrenser hastigheten for kurven sett under ett. Maksimal hastighet i kurven blir dermed Vmaks = 95 km/h.
3.2.4 Regneeksempel 2: Å finne Vmaks når R, L og h er kjent
Vi skal som i eksempel 1 anta at vi har en eksisterende bane med overbygningsklasse c. Men vi setter R = 700 m, L = 60 m og h = 140 mm. Hva blir nå hastigheten i kurven og hva er det som bestemmer denne hastigheten?
Fra tabell 3.7 finner vi følgende grenseverdier: dh/dtmaks = 55 mm/s, Imaks = 150 mm, dI/dt maks = 80 mm/s.
Sirkelelementet
Maksimal hastighet blir:
Overgangskurven
Sjekker i forhold til krav til nødvendig lengde på overgangskurven:
1) Krav til rampestigningshastighet gir
2) Krav til rykk gir
Vi bli her nødt til å regne videre for å finne hastigheten i overgangskurven!
1) Kravet til rampestigningshastigheten gir følgende hastighet:
2) Krav til rykk gir at hastigheten er gitt av følgende iterasjonsformel:
Antar V0 = 84,9 km/h (hast. gitt av krav til dh/dtmaks). Iterasjon gir da:
V1 = 142,70 V4 = 127,53
V2 = 124,41 V5 = 127,79
V3 = 128,58 V6 = 127,73
Dvs. V = 127,7 km/h
Maksimal hastighet i kurven blir styrt av rampestigningshastigheten i overgangskurven og er 84,9 km/h => Vmaks = 80 km/h.
Et poeng her er for øvrig at nødvendig overgangskurvelengde innsatt sirkelhastigheten med hensyn på rykk er en god del mindre enn med hensyn på rampestigningshastighet (68 m vs. 93 m). Når forskjellen er så stor som her ville vi kunne anta på forhånd at det er rampestigningshastigheten som blir dimensjonerende for hastigheten, og vi hadde dermed sluppet iterasjonen med hensyn på rykk. Men NB! vi kan ikke generelt si noe om hvilke krav som blir gjeldende ut fra slike lengdebetraktninger, så det sikreste er å regne ut hastigheten både med hensyn på rampestigningshastighet og på rykk.
3.3 Å finne Vmaks når R og L er kjent, mens h er ukjent
Med disse forutsetningene har vi ikke grunnlag for å regne ut hastigheten i sirkelkurven, så her må vi først regne på overgangskurven. Denne fremgangsmåten er ofte mer gunstig for å oppnå maksimal hastighet. Det er langtfra alltid størst mulig overhøyde i sirkelelementet gir den høyeste hastigheten gjennom kurven, så fristilling av overhøyden er svært reellt i praksis.
3.3.1 Overgangskurven
Fra f.eks. en gitt hovedpunktsberegning vil vi få data over lengdene på overgangskurvene. Med kjent lengde av overgangskurven vil det være ønskelig å tilpasse størrelsen på overhøyden slik at hastigheten kan holdes så høy som mulig. Vi ønsker med andre ord å kunne utnytte grenseverdiene for rampestigningshastighet og rykk fullt ut og på den måten finne maksimal hastighet i overgangskurven.
At det virkelig eksisterer en overhøyde som gir en maksimal hastighet i overgangskurven kan vi overbevise oss om ved å sette sammen grafene i figurene, samt kravet til hmaks, ev. rampestigning, til én figur:

I skjæringspunktet mellom den grønne og blå kurven har vi maksimal hastighet og den tilhørende optimale overhøyden i OE for overgangskurven.
Vi tar igjen utgangspunkt i uttrykket for I i ligning 3.9, og vi søker å kunne uttrykke h og I ved hjelp av hhv. rampestigningshastigheten og rykket. I overgangskurvens ende (OE) kan vi på grunnlag av ligning 3.4 uttrykke h som
(3.14)
I har vi allerede funnet et uttrykk for i ligning 3.10.
Begge disse uttrykkene settes så inn i ligning 3.9 som i sin tur løses med hensyn på hastigheten:
(3.15)
Vi slipper altså å iterere i dette tilfellet, og vi merker oss også at vi får tatt hensyn til både rampestigningshastighet og rykk i én og samme operasjon.
Av uttrykket over kan vi lese at den maksimale hastigheten bare øker beskjedent når overgangskurvelengden øker. Eksempelvis kan det vises at dersom overgangskurvelengden øker med 50 %, så vil den maksimale hastigheten øke med bare 14–15 %. Selv om hastighetsøkningen er beskjeden, kan det likevel ligge fordeler i å øke overgangskurvelengden. Økt overgangskurvelengde medfører bedre komfort, dvs. at opptredende rampestigningshastighet og rykk ikke når sine respektive grenseverdier. Komfortbegrepet gjennomgås i detalj i L531 Kap. 4 – Linjeoptimalisering.
Den optimale overhøyden som samsvarer med den maksimale hastigheten kan vi nå enkelt regne ut ved å sette verdien for hastigheten inn i uttrykket for overhøyden:
(3.16)
(Vi kunne også ha funnet h ut fra uttrykket i 3.13; verdien på h>opt blir selvsagt den samme.)
Overhøyden rundes av ned til nærmeste 5 mm.
Vi må dessuten sjekke at denne overhøyden hverken overskrider grenseverdien på 150 mm eller maksimal rampestigning på 2,5 ‰ / 1:400. Dersom den optimale overhøyden er større enn dette, må den selvsagt reduseres slik at disse grensene ikke blir brutt.
Når overhøyden avrundes og ev. reduseres som følge av for høye verdier, vil man introdusere en feil i den tilhørende hastigheten. Og siden det i begge tilfellene er snakk om avvik (reduksjon) fra den optimale overhøyden, vil den maksimale hastigheten gå ned. Dersom vi ønsker å regne ut en ny og mer nøyaktig hastighet som samsvarer med den avrundete/reduserte overhøyden, må vi gå gjennom den prosedyren som er beskrevet i avsnitt 3.2 med gitt overhøyde. Rene avrundingsfeil vil imidlertid i praksis ikke gi så store feil at det er nødvendig å foreta nye beregninger.
3.3.2 Sirkelkurven
For å finne hastigheten i sirkelelementet setter vi den overhøyden vi fant i ligning 3.16 (hopt) inn i det vanlige uttrykket for hastigheten i sirkelkurven, jf. ligning 3.1:
(3.17)
Den hastigheten som kurven kan trafikkeres med vil da være den minste av hastighetene i overgangskurven og i sirkelelementet. Men denne fremgangsmåten reiser av og til en problemstilling som krever grundigere undersøkelser, noe neste avsnitt tar opp.
3.3.3 Dersom Vsirkel < Vovergangskurve

Den situasjonen at hastigheten for sirkelelementet er mindre enn hastigheten for overgangskurven kan illustreres grafisk som i fig. 3.5. Denne situasjonen kan oppstå dersom radien er liten og overgangskurvene er uforholdsmessig lange.
Figurforklaring:
- Maksimalhastighet i sirkelen gitt av Imaks (gul strek)
- Maksimalhastighet gitt av dh/dtmaks (grønn strek)
- Maksimalhastighet gitt av dI/dtmaks (blå strek)
- Grense for overhøyden gitt enten av hmaks eller av Δh/L maks (rød strek)
hopt er overhøyde gitt av 3.16
hny er virkelig optimal overhøyde gitt av 3.18 nedenfor
Av figur 3.5 ser vi at punktet P, som var det optimale med hensyn på overgangskurven, ikke blir det optimale nå fordi det er sirkelkurven som setter begrensningene for hastigheten. Ligning 3.17 vil gi hastigheten i punktet P´´, siden vi setter inn hopt som gjelder for overgangskurven. Det punktet som gir den optimale situasjonen i dette tilfellet er P´, og her vil både overhøyden og hastigheten ha litt høyere verdier enn i P´´. Det kan vises at overhøyden i P´ kan finnes ved hjelp av følgende iterasjonsformel:
(3.18)
Denne overhøyden kan vi så bruke for å finne hastigheten ved å sette den inn i 3.17 i stedet for hopt. (Legg for øvrig merke til at rotuttrykket i nevneren er av samme form som uttrykket for sirkelhastigheten (jf. f.eks. 3.17), og 3.18 blir dermed av samme form som 3.16).
Det presiseres likevel at hastigheten i P´ bare er ubetydelig høyere enn den vi har i P´´, og hastigheten kan derfor med god tilnærmelse antas å være lik den som er gitt i .17 innsatt hopt. Overhøyden kan imidlertid bli merkbart høyere.
3.3.4 Regneeksempel 3: Å finne v og h når R og L er gitt.
Vi antar som i de foregående eksemplene at vi har en eksisterende bane med overbygningsklasse c. Vi setter R = 500 m og L = 80 m. Hva blir den maksimale hastigheten og den tilhørende optimale overhøyden i kurven?
Fra tabell 3.7 finner vi følgende grenseverdier: Δh/L maks = 2,5 ‰, dh/dtmaks = 55 mm/s,
I = 130 mm, dI/dt maks = 80 mm/s.
Den maksimale hastigheten i overgangskurven er gitt av ligning 3.15:
Den optimale overhøyden er gitt av ligning 3.16:
Sjekker for rampestigning:
Med den optimale overhøyden får vi følgende hastighet i sirkelelementet:
Vi ser her at sirkelelementet begrenser hastigheten. Hastigheten er 100 km/h og den tilhørende overhøyden er 130 mm.
(Siden hastigheten i sirkelen blir den begrensende her kunne vi ha regnet videre etter det som står i avsnitt 3.3.3 ovenfor, men dette får ev. bli en oppgave for leseren.)
4 Hastighet i kurver uten overgangskurver
Til nå i dette kapitlet har vi bare betraktet kurver der alle tre traseringselementer fra horisontalgeometrien opptrer. Overgangskurven er imidlertid ofte utelatt, og denne situasjonen setter litt strengere krav til hvilke hastigheter vi kan oppnå gjennom en skjerping av grenseverdiene for de involverte traseringsparametrene.
Kurver uten overgangskurver forekommer både i vanlige spor og i sporforgreninger, hvor sporvekslenes avvikende spor tilstøter rettlinjet spor eller kurve.
Ved sporforgreninger i togspor på stasjoner blir den største tillatte hastighet for det avvikende spor bare angitt i tilfelle den er forskjellig fra 40 km/h.
Fastsettelse av den største tillatte hastighet i kurver uten overgangskurver utføres på følgende grunnlag:
- Det skilles mellom kombinasjonskurver og kombinasjoner av rettlinje og kurver. Kurvene kan ligge med overhøyde, uten overhøyde eller med falsk overhøyde (dvs. at ytre skinnestreng ligger lavere enn indre).
- De forskjellige mulige traséringstilfeller er angitt nedenfor. Hastigheten (V) beregnes iht. de forskjellige formler som gjelder for hvert enkelt tilfelle. Den minste verdien for V betraktes som den tillatte hastigheten.
4.1 Felles bestemmelser
Som vi var inne på innledningsvis, blir det kun sirkelkurvene som setter begrensninger på hastigheten i alle de geometriske tilfellene over. Vi kan derfor anvende ligning 3.2 fra avsnitt 2.2, som kun betrakter hastigheten i sirkelkurven, ved hastighetsberegninger for alle kurvekombinasjonene.
I alle tilfeller er den maksimale manglende overhøyden, Imaks, lik 100 mm, uavhengig av overbygning og hvorvidt kurven er utformet med overhøyde, uten overhøyde eller med falsk overhøyde.
I de tilfellene der overhøyde bygges opp vha. en overhøyderampe, må det også tas hensyn til rampestigningshastigheten, dh/dt. Denne har normalt en maksimalverdi på 55 mm/s for konvensjonelt materiell, men i kurver uten overgangskurver er verdien redusert til 46 mm/s. Ligning 3.7 benyttes for å beregne hastigheten gitt av rampestigningshastigheten. Ser vi på definisjonen av rykk som endring av den manglende overhøyden I over tid, er denne parameteren også tilstede med kontinuerlig endring i verdi, men rykk definert som endring av ukompensert sideakselerasjon finnes kun i trasépunktene KP/FKP og er da teoretisk lik uendelig. Rykk medregnes derfor ikke i disse betraktningene.
I kurver med falsk overhøyde er det viktig å huske at overhøyden inngår med negativt fortegn i de involverte formlene. Hvis ligning 3.2 gir lavere verdi enn 20 km/h, gjelder V = 20 km/h.
4.2 Traseringstilfeller
Vi betrakter følgende geometriske tilfeller:
- Rettlinje – sirkelkurve
- Ensrettede sirkelkurver uten mellomliggende rettlinje
- Motsatt rettede sirkelkurver uten mellomliggende rettlinje (S-kurver)
- Sirkelkurve – rettlinje – motsatt sirkelkurve
4.2.1 Rettlinje – sirkelkurve
For denne enkle kurvekombinasjonen gjelder bestemmelsene i forrige avsnitt, avhengig av ev. overhøyde og overhøyderampe.
4.2.2 Ensrettede sirkelkurver uten mellomliggende rettlinje
Hvis det er anvendt overhøyde, regnes hastigheten for de enkelte sirkelkurvene ut hver for seg. Hastigheten gitt av rampestigningshastigheten regnes også ut, og den minste hastigheten blir dimensjonerende for hele kurven.
Dersom vi ikke har noen overhøyde, blir den krappeste av sirkelkurvene dimensjonerende.
4.2.3 Motsattrettede sirkelkurver uten mellomliggende rettlinje
For S-kurver gjelder først og fremst de samme betingelser som for ensrettede sirkelkurver uten mellomliggende rettlinje. Hver sirkelkurve hastighetsberegnes hver for seg, med beregning av rampestigningshastighet i ev. overhøyderamper.
I tillegg gjelder følgende formel, som reduserer den maksimalt tillatte hastigheten ytterligere ved meget krappe sirkelkurver:
(3.19)
Begge radier inngår med positivt fortegn.
4.2.4 Sirkelkurve – rettlinje – motsatt sirkelkurve
Legges en rettlinje mellom motsatt rettede sirkelkurver med overhøyde, innføres enda en tilleggsformel:
(3.20)
der M er lengden av den mellomliggende rettlinjen.
I beregningene gjelder den største verdien gitt av ligningene 3.19 og 3.20.
Deretter beregnes hastigheten som ellers utfra de aktuelle sirkelkurvene med hensyn til ev. overhøyder og overhøyderamper.
4.2.5 Regneeksempel 4: Hastighet i kurve uten overgangskurver

Vi skal se på en eksisterende strekning der vi har en utoverbøyd kurveveksel (V/H) for å oppnå en forgrening av et hovedspor med overhøyde lik 60 mm. For å jevne ut overhøyden i avvikesporet til h = 0, er det lagt inn en overhøyderampe med rampestigning på 2 ‰, som begynner midt ute på det konsentriske avvikesporet (R = 1200 m) og ender i kurvepunktet (KP) mellom rettlinjen etter vekselen og den etterfølgende, krappe sirkelkurven. Rampen er altså ikke sammenfallende med endringer i horisontalkurvaturen, og overhøyden som inngår i beregningene er derfor målt i de aktuelle trasépunktene. Figuren under viser situasjonen som plantegning med påskrevne radier og trasépunkt, og overhøydediagram for avvikesporet.
Vi skal overholde følgende traseringsparametre jf. avsnitt 4.1:
Imaks = 100 mm, dh/dtmaks = 46 mm/s
En ryddig måte å finne dimensjonerende hastighet på vil være å først regne ut den maksimale hastigheten i hvert sirkelelement for deretter å betrakte de involverte kurvekombinasjonene, jf. avsnitt 4.2:
Sporvekselkurven:
Første sirkelkurve i avvik:
Andre kurve i avvik er like slak som hovedsporet, så vi ser umiddelbart at den ikke blir dimensjonerende.
Fra hovedsporet og gjennom vekselen har vi en S-kurve:
Fra og med vekselen og videre ut i avvikesporet har vi en kontrakurve med en mellomliggende rettlinje på 6 m:
Til slutt må vi sjekke kravet til rampestigningshastighet, gitt av ligningene 3.3 og 3.7:
Tillatt hastighet i avvikesporet blir dermed V = 50 km/h.
4.2.6 Regneeksempel 5: Hastighet i kurve uten overgangskurver
Vi skal se på en eksisterende strekning der vi har en innoverbøyd kurveveksel (V/H) for å oppnå en forgrening av et hovedspor med overhøyde lik 75 mm. Her har vekselkurven riktig overhøyde, men for å oppnå to parallelle rettlinjer, er det lagt inn en kontrakurve, der vi får falsk overhøyde. For å jevne ut overhøyden i avvikesporet, er det lagt inn en overhøyderampe med rampestigning på 2 ‰, som begynner i kurvepunktet (KP) mellom rettlinjen og kontrakurven og ender midt på rettlinjen som etterfølger vekselkurven. Rampen er altså ikke sammenfallende med endringer i horisontalkurvaturen, og overhøyden som inngår i beregningene er derfor målt i de aktuelle trasépunktene.
Figuren under viser situasjonen som plantegning med påskrevne radier og trasépunkt og overhøydediagram for avvikesporet. Involverte traseringsparametre og største hastighet utfra rampestigningshastighet er som i Eksempel 4.

Sporvekselkurven:
Første sirkelkurve i avvik:
Fra hovedsporet og gjennom vekselen har vi en kombinasjonskurve:
Fra og med vekselen og videre ut i avvikesporet har vi en kontrakurve med en mellomliggende rettlinje på 11 m:
Tillatt hastighet i avvikesporet blir dermed V = 34,6 km/h ≈ 30 km/h.
5 Hastighet utfra andre faktorer enn horisontalgeometri
5.1 Hastigheter for ulikt rullende materiell
For bestemte togsett kan det tillates større hastigheter. Hastighetene for disse togsettene regnes ut på samme måte som i avsnitt 2 og 3, men det benyttes andre grenseverdier. Disse grenseverdiene er gjengitt i Grenseverdier for traseringsparametre.
5.2 Hastighet i sidespor
Største tillatte hastighet skal ikke overstige 65 km/h (overbygningsklasse a).
5.3 Største hastighet i sporveksler
I det generelle tilfellet fastsettes hastigheten avhengig av togveien gjennom sporvekselen på samme måte som for et vanlig spor med eller uten overgangskurver.
Normalt har vi ikke overhøyde i sporveksler, og den maksimale hastigheten som kan holdes i vekselen er da gitt som for en sirkelkurve uten overhøyde:
(3.21)
Det må dog tilføyes at Imaks som regel settes lavere enn vanlig siden det mangler overgangskurve og på grunn av ekstra støt ved kjøring gjennom vekselen.
I tilfellet der vi har overhøyde i sporvekselen, regnes tillatt hastighet på vanlig måte som for sirkelkurver med overhøyde. Men også her tillates normalt bare en lavere Imaks, jf. tabellene for dimensjonerende parametre i avsnitt 6.
Av og til forekommer falsk overhøyde i sporvekselen, overhøyden har negativ verdi. Da benyttes samme formler som for Vmaks ellers, men overhøyden må inngå med riktig fortegn.
Nedenfor følger en del bestemmelser for Vmaks utfra vekselens konstruksjon.
Sporveksler med
- fjærtunger/fjærskinnetunger: Vmaks = 200 km/h
- leddtunger i vinkeltungeprofil: Vmaks = 100 km/h
Største hastighet i kryssveksler er 100 km/h.
Sporveksler med
- direkte låsing og direkte deteksjon eller annen særskilt godkjent anordning: Vmaks = 200 km/h
- minst 2 drivmaskiner av ikke oppkjørbar type eller annen særskilt godkjent anordning: Vmaks = 160 km/h
- enkel drivmaskin type Siemens bsg.antr. 9b eller tilsvarende: Vmaks = 130 km/h
- drivmaskin type EB/LME JEA-30 og med motorsperre utført som snekkedrev: Vmaks = 130 km/h
- drivmaskiner av andre typer: Vmaks = 100 km/h
- palstengsel og rigel type DSI: Vmaks = 130 km/h
- palstengsel og kontrollås etter tegning S.585a: Vmaks = 130 km/h
- hakestengsel med rigel eller kontrollås: Vmaks = 100 km/h
- for øvrig: Vmaks = 40 km/h
Største tillatte hastighet over kryssveksler med stigning 1:8 uavhengig av tungelåsing er Vmaks = 70 km/h.
Sporveksler som er
- sentralstilte: Vmaks = 200 km/h
- forriglete eller kontrollåste og i avhengighet til hovedsignal: Vmaks= 130 km/h
- kontrollåst og underlagt A-lås, B-lås eller D-lås: Vmaks = 130 km/h
- kontrollåst og underlagt C-lås uten avhengighet til hovedsignal når kryssing ikke finner sted: Vmaks = 130 km/h
- betjent eller låst med klave og hengelås: Vmaks = 40 km/h
5.4 Hastighet i stigningskurver
Jf. vertikalkurvaturen, gjennomgått i L531 – Sporgeometri, brukes hastigheten som parameter når den dimensjonerende radien i stigningskurven skal beregnes. Den dimensjonerende hastigheten i stigningskurver er imidlertid gitt ved et litt annet uttrykk, avhengig av hvor stor radien er, men som funksjon av stigningskurvens radius. Det er situasjonen i såkalt høybrekk (konveks stigningskurve), hvor sentripetalakselerasjonen lemper på tyngdeakselerasjonen, som ligger til grunn. Stigningskurver i lavbrekk gir ingen hastighetsbegrensninger.
Største tillatte hastighet i høybrekk på grunn av stigningskurvens radius bestemmes av uttrykkene:
(3.22)
6 Vedlegg
6.1 Grenseverdier for traseringsparametre
Dimensjonerende parametre for nye baner og linjeomlegginger
| Symbol | Definisjon | Normale krav | Minste krav |
|---|---|---|---|
| maksimal verdi for overhøyden | 150 mm | 150 mm | |
| grense for overhøyde pga. avsporingsfaren ved lave hastigheter | mm | mm | |
| grenseverdi for rampestigning | 1:400 | 1:400 | |
| grenseverdi for manglende overhøyde |
R ≤ 600: 80 mm R > 600: 100 mm |
R ≤ 600: 100 mm R > 600: 130 mm |
|
| grenseverdi for variasjon av den manglende overhøyde | 25 mm/s (tilsv. ψ = 0,16 m/s3) | 70 mm/s (tilsv. ψ = 0,46 m/s3) | |
| grenseverdi for rampestigningshastighet | 28 mm/s (tilsv. 1:10 V) |
V ≤ 120: 46 mm/s (tilsv. 1:6 V) V > 120: 35 mm/s (tilsv. 1:8 V) |
|
| grenseverdi for overskuddsoverhøyde |
R ≤ 600: 50 mm R > 600: 70 mm |
R ≤ 600: 70 mm R > 600: 100 mm |
|
| hastighet for de langsomtgående tog | 80 km/h | 80 km/h |
Tabell 3.6 beskriver de ulike geometriske tilfellene som varierer de dimensjonerende parametrene for eksisterende baner, gitt i tabellene 3.7 og 3.8.
Geometriske tilfeller på eksisterende baner
| Tilfelle | Beskrivelse |
|---|---|
| 1 A | Kurver uten «tvangspunkter» |
| 1 B |
Kurve med sterkt trafikkert planovergang Kurve hvor toget ofte stopper:
|
| 2 |
Kurve med kurveveksel. Kurve med bro uten gjennomgående ballast |
Dimensjonerende parametre for eksisterende baner – konvensjonelt materiell
| Symbol | Definisjon | 1A | 1B | 2 |
|---|---|---|---|---|
| maksimal verdi for overhøyde | 150 mm | 130 mm | 150 mm | |
| grense for overhøyde pga. avsporingsfaren ved lave hastigheter | ||||
| grenseverdi for rampestigning | 1:400 | |||
| grenseverdi for manglende overhøyde |
100 mm for R < 290 130 mm for 290 ≤ R ≤ 600 150 mm for R > 600 |
100 mm for R ≤ 350 130 mm for R > 350 |
||
| grenseverdi for variasjon av den manglende overhøyde | 80 mm/s (tilsv. ψ = 0,52 m/s3) | |||
| grenseverdi for rampestigningshastighet | 55 mm/s (tilsv. 1:5 V) | |||
| grenseverdi for overskuddsoverhøyde |
90 mm for R ≤ 600 110 mm for R > 600 |
|||
| hastighet for de langsomtgående tog | 80 km/h | |||
For krengetog gjelder tabell 3.7, med unntak av parametrene gitt i tabell 3.8:
Dimensjonerende parametre for eksisterende baner - krengetogsmateriell
| Symbol | Definisjon | 1A og 1B | 2 |
|---|---|---|---|
| maksimal verdi for overhøyde | 150 mm | ||
| grenseverdi for manglende overhøyde |
160 mm for R < 250 (1,7R - 265) mm for 250 ≤ R ≤ 300 245 mm for R > 300 |
180 mm1) | |
| grenseverdi for variasjon av den manglende overhøyde | 122,5 mm/s (tilsv. ψ = 0,80 m/s3) | ||
| grenseverdi for rampe-stigningshastighet | 75 mm/s (tilsv. 1:3.7 V) | ||
7 Litteraturhenvisninger
- DB – Sporregler, tilllæg 2A–2F (1987).
- Holom, Finn – Kurs i baneteknikk; Sporets geometri, NSB Bane, Region øst (1992).
- Jernbaneverket – Overbygning-Prosjektering, Teknisk regelverk JD530 (01.01.99).
- NSB – Lærebok for linjepersonalet, Trykk 383, Tjenesteskrifter NSB Hovedadministrasjonen, NSB Jernbaneskolen (1987).
- Skoglund, Kjell Arne – Sporgeometri og kjøredynamikk, Fag 34045 Jernbaneteknikk VK, NTNU, notat nr. 955 (mars 1996).