Teknisk linjeføring
Publisert: 13. september 2011
Oppdatert: 2. januar 2025
1 Innledning
Teknisk linjeføring omhandler to hovedemner. Først behandles grunnleggende faktorer for jernbanens tekniske linjeframføring. Deretter rettes oppmerksomheten mot begrepene kryp og krypkrefter som nettopp er et resultat av togets framføring under bestemte forhold.
Jernbanen kan teknisk defineres som et transportmiddel understøttet av stålhjul som løper på stålskinner og styrt av hjulets stålflenser mot skinnehodet. Da overbygningen må være elastisk oppbygget i konstruksjonen, medfører dette at skinnen vil fungere som bærebjelke på det elastiske underlaget for toget. Videre blir sporet med skinnene en bundet eller fastlåst kjørevei for det rullende materiell.
Framføringsenheten er dermed toget som er satt sammen av trekkaggregat og et varierende antall vogner.
Det lokomotivtrukne tog har hele trekkraften samlet i lokomotivet. Togets hastighet og akselerasjonsevne vil være avhengig av hvor mange vogner som er tilkoplet lokomotivet og hvor tungt disse vognene er lastet. Togets bremseutrustning setter også en grense for lengden.
Motorvogntoget har i alminnelighet drivmaskineri på hver vogn eller for hvert vognsett. Hastighet, akselerasjon og bremseegenskaper vil derfor være uavhengig av togets lengde.
Kjørehastigheten varierer med trekkraft, togets vekt og bremseutrustning. Videre vil linjens stignings- og kurveforhold samt banens konstruksjon og vedlikeholdsstandard ha betydning.
Lokomotivets trekkraft overføres til skinnene ved adhesjon. Adhesjonskoeffisienten angir hvor stor trekkraft eller bremsekraft som kan brukes i forhold til lokomotivets eller de drivende hjuls tyngde.
Under framføring av toget må lokomotivets trekkraft overføre en kjøremotstand. Kjøremotstanden settes sammen av grunnmotstand, kurvemotstand og stigningsmotstand.
2 Grunnleggende faktorer for jernbanens tekniske linjeføring
2.1 Hjulets bevegelse på skinne
Togets framdrift er avhengig av kraftoverføringen mellom hjul og skinne. Denne kraftoverføringen som skjer ved rullende bevegelse, betegnes adhesjon. Adhesjonskoeffisienten μ angir hvor stor trekkraft eller bremsekraft som kan brukes i forhold til lokomotivets eller de drivende hjuls tyngde. Ved bruk av større krefter vil hjulene enten spinne eller gli. Adhesjonens betydning for framdriften har gitt opphav til fellesbetegnelsen adhesjonsbaner for konvensjonelle skinnegående transportmidler. Dette i prinsipiell motsetning til baner med direkte kraftoverføring som for eksempel ved tannbaner eller kabelbaner.
I figur 1 er angitt følgende betingelser:
- ω er rotasjonshastighet til hjulet [rad/s]
- v er togets hastighet [m/s]
- r er hjulets radius [m]
- M er drivende moment [Nm]

2.1.1 Rulling
Når hjulet ruller fritt, vil hjulperiferiens lineære hastighet være lik kjørehastigheten. Hjulperiferien vil i hvert tidsintervall tilbakelegge samme strekning som hjulsenteret. Rullestrekningen vil være lik kjørestrekningen. Dette er illustrert i figur 2.

Iht. til figur 2 gjelder følgende likninger:
(3.1)
(3.2)
2.1.2 Sliring
Dersom trekkraften til lokomotivet økes utover det som kan overføres til skinnen ved adhesjon, vil hjulet slire i forhold til skinnen. Hjulets rullestrekning blir større enn kjørestrekningen. Dermed oppstår i sliringsøyeblikket en friksjon i kjøreretningen. Dette er illustrert i figur 3.

Følgende gjelder:
(3.3)
(3.4)
2.1.3 Glidning
Det tredje tilfellet som kan inntreffe, er glidning. Dersom hjulet bremses opp så mye at rullestrekningen blir mindre enn kjørestrekningen, glir hjulet. I dette tilfelle er hjulperiferiens rullestrekning mindre enn kjørestrekningen. I glidningsøyeblikket oppstår en friksjon rettet mot kjørestrekningen. Ved fullstendig fastlåste hjul, dvs. blokkering, er hjulperiferiens vinkelhastighet lik null. Friksjonskoeffisienten ved glidning er vesentlig mindre enn adhesjonskoeffisienten ved rulling. Forholdet er illustrert i figur 4.

Følgende gjelder:
(3.5)
(3.6)
2.1.4 Kraftoverføring
For å få overført den nødvendige tangentielle kraft fra hjul til skinne under rullingen kreves en viss minimal relativ bevegelse i berøringspunktet. Så lenge denne tangentialkraften er liten, blir bevegelsen opptatt ved at materialet i berøringspunktet deformeres elastisk. Når tangentialkraften øker utover en viss grense, er den elastiske deformasjonen ikke lenger tilstrekkelig. Det inntrer da i tillegg en relativ sliring ved jevn hastighet eller ved akselerasjon. Ved bremsing inntreffer glidning. Dette medfører at det oppstår i tillegg en viss relativ bevegelse mellom hjul og skinne. De tangentielle krefter overføres som friksjonskrefter. Når toget bruker en kraft som fører til en relativ bevegelse mellom hjul og skinne, kalles virkningen av denne kraften for friksjon. Det er altså en forskjell mellom virkning av en kraft (friksjon) og overføring av en kraft (adhesjon). Slike minimale relative bevegelser som opptrer når hjulene ruller, kalles slipp eller kryp. Kreftene i forbindelse med bevegelsene skal omtales senere.
2.2. Trekkraft
Lokomotivets utnyttbare trekkraft F måles på drivhjulets periferi. Den er lik drivmaskineriets totale utviklede kraft med fradrag for indre motstand i alle bevegelige deler og overføringer.
Trekkraften overføres fra hjulperiferien til skinnene gjennom adhesjon mellom drivhjul og skinnehode. Adhesjonen blir dermed en grunnleggende egenskap som bestemmer grensen for utnyttbar trekkraft.

For kjøredynamiske beregninger brukes trekkraften på hjulperiferien. Etter fradrag av den trekkraft som må til for lokomotivets egen bevegelse framkommer trekkraften på koblingen som kan brukes til å trekke vognene.
Trekkraften regnes i N.
Lokomotivets spesifikke trekkraft eller relative trekkraft angis i forhold til togets samlede akselkraft:
av akselkraft]
(3.7)
Her betyr:
- F = lokomotivets trekkraft
- PTOG = togets samlede akselkraft
2.2.1 Trekkraft bestemt av adhesjon
Togets framdrift er begrenset av adhesjon mellom drivhjul og skinne. Trekkraftens maksimale verdi bestemmes derfor av adhesjonskoeffisienten og kraften på drivhjulene.
Følgende ulikhet gjelder:
(3.8)
Her betyr:
- F er trekkraftens maksimale verdi
- μ er adhesjonskoeffisienten
Dersom:
(3.9)
vil lokomotivet begynne å slire eller spinne.
Karakteristiske egenskaper ved adhesjon:
- Adhesjonskoeffisienten avtar med økende hastighet
- Adhesjonskoefisienten varierer med været. Den er størst i tørt vær og reduseres i tåke og regn. Islegging på skinnene kan forekomme, og løvfall om høsten kan også forårsake dårlige adhesjonsforhold.
- Adhesjonsforholdene er også til en viss grad avhengig av hjulsatsens konstruksjon. Parametre kan være anleggsflater, spissgang og vindskjevhet.
Grunnen til at adhesjonskoeffisienten avtar med økende hastighet, kan forklares med at sporet har mikroskopiske ujevnheter. Ved høy fart vil hjulet ha en tendens til å hoppe over disse ujevnhetene.
Adhesjonskoeffisienten μ varierer normalt mellom 0,33 og 0,06. Under ugunstige klimatiske forhold vil koeffisienten selv ved lave hastigheter kunne synke under 0,10. I gunstige tilfeller vil μ kunne komme over 0,40 ved midlere hastigheter.
Ved praktiske beregninger må adhesjonskoeffisienten vurderes etter forholdene. For overslagsberegninger ved midlere hastigheter benyttes i alminnelighet
(3.10)
Adhesjonsforholdene kan påvirkes på flere måter:
- Bedring av drivhjulenes løpeegenskaper sikrer en mest mulig jevn overføring av kraft fra hjul til skinne.
- Utforming av drivanordningen slik at akslene får samme omdreiningshastighet og at det blir jevn kraftoverføring fra motor til hjul.
- Godt justert spor sikrer også jevn overføring av trekkraften.
- Sandstrøing øker adhesjonskoeffisienten.
I figur 6 er vist et eksempel på hvordan adhesjonskoeffisienten for en dreven aksel til et lokomotiv varierer som funksjon av hastighet.

2.2.2 Empiriske formler for beregning av adhesjonskoeffisienten
Det finnes flere formler for beregning av adhesjonskoeffisienten. Grunnen er at det er gjort forsøk med forskjellige vogntyper. Formlene bør av den grunn benyttes med en viss forsiktighet. Dette fordi de er utformet på en slik måte at adhesjonskoeffisienten kun varierer med hastigheten og bare denne.
Det skal nevnes 4 forskjellige formler:
1) Curtius-Kniffler
Denne formelen har vært mye benyttet for hastigheter inntil 160 km/h.
[V i km/h]
(3.11)
Denne formelen gir grenseverdiene:
μ = 0,33 for V = 0
μ = 0,161 for V = ∞
(3.12)
2) SNCF-formel
Ved høyere hastigheter velges gjerne forsiktige verdier for adhesjonskoeffisienten fordi sliring (spinning) da særlig er uheldig. SNCF benytter formelen:
[V i km/h]
(3.13)
μ0 kan anta verdier mellom 0,24 0g 0,33. For μ0 = 0,33 gir formelen samme verdier som formelen til Curtius-Kniffler.

3) UIC-formelen
UIC anbefaler følgende formel:
[V i km/h]
(3.14)
μ begrenses oppad til 0,23. Dette betyr at adhesjonskoeffisienten settes konstant lik 0,23 når hastigheten er < 15 km/h.
4) Tokaidolinjen
For Tokaidolinjen som trafikkeres med høye hastigheter, regner de japanske statsbaner med adhesjonskoeffisienter fra 0,16 ved start og lineært synkende til 0,04 ved hastighet lik 250 km/h.
2.2.3 Trekkraft bestemt av lokomotivets effekt
Dersom toget bruker en trekkraft F målt på hjulperiferien under en framføring med hastighet v, utvikler lokomotivet en netto effekt:
(3.15)
Nettoeffekten er mindre enn motoreffekten på grunn av tap i overføringsleddene.
Innføres hastigheten i V [km/h], blir uttrykket:
(3.16)
eller
(3.17)
Det spesifikke effektbehov regnet i vektenhet av toget blir:
(3.18)
Her er m togets masse i tonn.
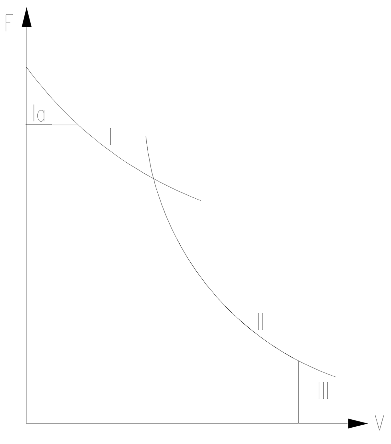
I figur 8 er vist typiske trekkraftkurver som funksjon av hastighet. Det framgår at opp til en viss hastighet blir den utnyttbare trekkraft bestemt av adhesjonsforholdene (i området merket I). Over denne hastighet synker trekkraften med økende hastighet (i området merket II).

I figur 9 er også vist en typisk trekkraftkurve som funksjon av hastighet under hensyntagen til at adhesjonen avtar med økende hastighet.

2.3 Kjøremotstand
Lokomotivets trekkraft blir brukt til å overvinne togets kjøremotstand og til å akselerere toget. Disse motstandskreftene inndeles i:
- grunnmotstand
- kurvemotstand
- stigningsmotstand
Kurvemotstanden og stigningsmotstanden vil variere med kurveforhold og stigning, mens grunnmotstanden alltid vil eksistere.
Det hevdes at kjøremotstanden øker proporsjonalt med togets samlede aksellast. Dette virker logisk, men det skal påvises at hypotesen ikke er helt korrekt. Dersom det tas utgangspunkt i at kjøremotstanden W er proporsjonal med aksellasten P er det naturlig å definere den spesifikke grunnmotstanden w som:
(3.19)
Her betyr:
- ω er kjøremotstand i [N]
- P er aksellast i [kN]
- w er spesifikk grunnmotstand [i ‰]
2.3.1 Grunnmotstand
Grunnmotstand på rett linje og horisontal bane er satt sammen av rullemotstand og luftmotstand.
Rullemotstanden påvirkes av flere parametre:
- Friksjon i lager og overføringsledd
- Rullende friksjon mellom hjul og skinne
- Motstand på grunn av ujustert spor og elastisk nedbøyning av skinnegangen ved kjøring
- Motstand i skinneskjøter (eldre sportype)
I tillegg kommer luftmotstanden.
I figur 10 er vist eksempler på parametre for rullemotstanden.

I alminnelighet er grunnmotstanden større for lokomotiv enn for vogner. Det er derfor praktisk å beregne de bidragene hver for seg.
Rullemotstanden bestemmes av tilpasningen mellom hjul og skinne. Men også egenskaper ved det rullende materiell har betydning. På grunn av sliring vil rullemotstanden også ha en komponent på tvers av kjøreretningen. Dette skyldes at hjulene glir sidelengs.
Luftmotstanden består av trykket på togets frontparti, luftinntrengning mellom vognene, sug bak toget og friksjon mot tak, understell og sideflater. Ved nyere høyhastighetstog er det tatt hensyn til dette ved strømlinjet utforming. Ved høy hastighet utgjør luftmotstanden et stort bidrag til grunnmotstanden, da denne motstanden er proporsjonal med kvadratet av hastigheten.
I tunneler er luftmotstanden større enn på åpen linje. Luftmotstanden betraktes gjerne separat på linje med de andre motstander. Beregning av luftmotstanden er meget komplisert.
I dag finnes en del formler for beregning av grunnmotstand som er utledet av praktiske forsøk. Slike formler vil ha begrenset levetid fordi de er knyttet til en bestemt type rullende materiell. Togmateriellet er forskjellig for ulike tog og materiellet er i stadig utvikling. Videre kan det antas at formlene er meget nøyaktige innenfor et definert hastighetsintervall. Stort sett opphører gyldighetsområdet for svært store og lave hastigheter samt ved spesielle klimatiske forhold.
Generelt vil en formel for den spesifikke grunnmotstand ha formen:
(3.20)
hvor V er hastigheten uttrykt i km/h.
I dette uttrykket blir rullemotstanden beskrevet ved:
(3.21)
som består av en konstant og dessuten et ledd som er proporsjonalt med hastigheten. Det siste leddet er i alminnelighet lite og settes derfor ute av betraktning. Luftmotstanden uttrykt ved leddet
(3.22)
er proporsjonalt med kvadratet av hastigheten og dominerer således ved høyere hastigheter.
I alminnelighet reduseres formelen for grunnmotstanden til
(3.23)
hvor altså V er hastigheten uttrykt i km/h.
En rekke verdier for a og c er utarbeidet med grunnlag i praktiske forsøk. Formlene er dels bygget opp for lokomotiv og forskjellige vogntyper, dels mer tilnærmet for hele tog. Den alminneligste formel for hele tog med lokomotiv er:
(V i km/h)
(3.24)
Med særlig tanke på høyere hastigheter er det gjennomført forsøk i nyere tid og følgende empiriske formel for lokomotivtrukne tog med 7–10 vogner er utviklet:
(3.25)
For motorvogntog med 7 vogner er følgende formel empirisk utviklet:
(3.26)
Figur 11 viser en sammenlikning mellom de 3 formler for grunnmotstand.

Av dette utledes at grunnmotstanden for et tog med samlet akselkraft blir:
(3.27)
Å si at kjøremotstanden er proporsjonal med aksellasten er ikke helt korrekt. Dette framkommer når luftmotstanden tas i betraktning. Luftmotstanden til en vogn er sterkt avhengig av formen på vognen og ikke av vognens tyngde. Eksempelvis vil en godsvogn som er lastet med isopor, ha samme luftmotstand som når vognen er lastet med tunge metaller (for eksempel bly). Grunnmotstanden kan beregnes etter følgende formel:
(3.28)
Her betyr:
- W0 LOK = lokomotivets grunnmotstand i N
- PL = akselkraften på løpehjulene i kN
- A = lokomotivets frontflate i m2
- V = hastighet i km/h
Koeffisientene c0, c1 og c2 er avhengige av lokomotivets konstruksjon. Tilnærmet kan lokomotivets grunnmotstand skrives:
(3.29)
Vognenes spesifikke grunnmotstand kan beregnes etter følgende formel:
(3.30)
Her betyr:
- w0 vg = spesifikk grunnmotstand i ‰
- k = 2000 for godsvogner
- k = 3000 for personvogner
Iht. den generelle formelen:
(3.31)
legges det da merke til at grunnmotstanden for vognene blir betraktet å være proporsjonal med aksellasten. For lokomotivet derimot er grunnmotstanden også avhengig av formen på frontpartiet i tillegg til aksellasten.
2.3.2 Kjøremotstand i kurver
Når en vogn gjennomløper en kurve vil forreste aksel bli tvangsstyrt gjennom kurven da flensen på det ytre hjul ligger an mot skinnehodet i ytterstrengen. Sidekraften mot ytre skinne kalles styrekraften. Det vises til figur 12.

I kurver må det ytre hjulet løpe en lenger vei enn det indre hjulet. Hjulenes koniske form vil utligne dette noe, men hindrer allikevel ikke en viss sliring. På nyere tog med radialt innstilte hjulsatser blir naturligvis løpeegenskapene vesentlig bedre.
Det må også nevnes at boggien i prinsippet er en to-akslet vogn. Avstanden mellom hjulsettene i en slik boggi er imidlertid kortere enn for to-akslede vogner og dette fører til bedre løpeegenskaper for boggiene.
Kurvemotstanden vil i hovedsak være et resultat av styrekraften og sliring. Det har vært gjennomført en rekke forsøk som har resultert i empiriske formler. For beregning av kurvemotstanden brukes ofte Röckl’ s formel:
(3.32)
Her betyr:
- wr = kurvemotstand i ‰
- R = radius i kurve i m
- k1, k2 = koeffisienter avhengig av radius i kurve.
| Radius [m] | k1 | k2 |
|---|---|---|
| > 350 | 650 | 55 |
| ~300 | 530 | 35 |
| < 200 | 500 | 30 |
Kurvemotstanden har ingen særlig betydning ved moderne linjeføring med store kurveradier. Ved kurveradier større enn 1100 m kan denne motstanden neglisjeres.
2.3.3 Stigningsmotstand
Stigningsmotstanden skyldes at toget i stigninger har en tyngdekomponent mot bevegelsesretningen. Det vises til figur 13.

For små vinkler med hensyn til stigningen gjelder følgende tilnærmelse:
(3.33)
der s er stigning angitt i ‰.
Tyngdekraften dekomponeres og dette gir følgende tyngdekomponent mot bevegelsesretningen:
(3.34)
Den spesifikke stigningsmotstand blir:
(3.35)
2.3.4 Samlet motstand
Den samlede spesifikke motstand er lik summen av spesifikk grunnmotstand, spesifikk kurvemotstand og spesifikk stigningsmotstand:
(3.36)
For et tog med total akselkraft P blir samlet motstand:
(3.37)
For å holde konstant hastighet over en strekning med samlet motstand W må toget yte en trekkraft F slik at:
(3.38)
3 Forholdet mellom trekkraft og kjøremotstand
Den spesifikke trekkraft f og den spesifikke grunnmotstand w0 endrer seg med hastigheten V som vist på figur 14 . Den del av trekkraften som ligger under kurven for w0 vil gå med til å holde konstant hastighet på toget for en horisontal og rettlinjet bane. Resten av trekkraften kan benyttes til å overvinne stigning, kurvemotstand og til å akselerere toget.

Dersom de 2 kurvene skjærer hverandre ved hastigheten Vg, vil dette være den maksimale hastighet toget kan oppnå på horisontal og rettlinjet bane. Vg betegnes grunnhastigheten.
Moderne persontog vil i alminnelighet ha overskudd av trekkraft på horisontal og rettlinjet bane helt opp til tillatt hastighet. Begrepet grunnhastighet får i et slikt tilfelle ingen betydning.
Differansen mellom trekkraft og grunnmotstand kalles disponibel trekkraft. Ofte framstilles trekkraftkurvene som disponibel trekkraft fd , dvs. etter fradrag av grunnmotstanden w0. Denne kurven vil da for eksempel gi et uttrykk for hva den maksimale stigningen et tog kan overvinne for en gitt hastighet V når kurvemotstand og akselerasjon er lik null. Dette er anskueliggjort i figur 15. Ved en gitt hastighet V1 har toget tilstrekkelig trekkraft til å overvinne stigningen s1. Blir stigningen sterkere, taper toget hastighet.

I figur 16 er vist samlet prinsipielt begrepene for trekkraft og kjøremotstand, spesifikk trekkraft og spesifikk kjøremotstand, disponibel trekkraft og disponibel spesifikk trekkraft.

3.1 Trekkraftkurver
Den maksimale belastning på et elektrisk lokomotiv er bestemt av varmeutviklingen og den tillatte temperaturstigning i motorene. Et elektrisk lokomotiv kan derfor belastes betydelig mer gjennom en kortere periode enn ved kontinuerlig drift. Lokomotivets trekkraft kan således angis med forskjellige kurver avhengig av belastningstiden. Ved dimensjonering av etterhengt last brukes vanligvis timetrekkraften eller den kontinuerlige trekkraften. Dette er prinsipielt vist i figur 17.


På neste side er vist trekkraftdiagram for aktuelle materielltyper.


4 Toget under akselerasjon
4.1 Grunnlikning
Hittil er det bare blitt betraktet tog med konstant hastighet og det er redegjort for at trekkraften F må være lik kjøremotstanden W. Under en akselerasjon må trekkraften i tillegg til den alminnelige kjøremotstand også overvinne den treghetskraft som skal til for å akselerere togets samlede masse m. I et gitt øyeblikk kan likevekten mellom trekkraften F, kjøremotstanden W og akselerasjonen uttrykkes ved følgende likning:
(3.39)
Denne likningen kalles den kjøredynamiske grunnlikning.
Togets bevegelsesenergi består av translasjonsenergi og rotasjonsenergi. Rotasjonsenergien skyldes lokomotivets roterende bevegelse i hjul og andre roterende deler. Spørsmålet er hvordan rotasjonsenergien kan komme i betraktning uten en for komplisert vurdering. Dersom toget har en akselerasjon a, vil det ikke være riktig å sette opp følgende likning:
(3.40)
Dette har sammenheng med at rotasjonen ikke er inkludert.
Det kan bevises at bevegelsesenergien til et hjul med treghetsmoment I som ruller bortover med hastighet v, har en vinkelhastighet ω og en masse m kan uttrykkes ved:
(3.41)
Her betyr:
- E er bevegelsesenergien
- m er alle masser som har translasjonsbevegelse
- v er hastighet til alle masser med translasjonsbevegelse
- I er rotasjonsmomentet for alle masser i rotasjon
- ω er vinkelhastigheten
Rotasjonsmomentet uttrykkes ved:
(3.42)
Dette er illustrert i figur 19.

Vinkelhastigheten kan uttrykkes ved:
(3.43)
Dette gir grunnlag for følgende likning for bevegelsesenergien:
(3.44)
(3.45)
Dette uttrykket minner ganske mye på uttrykket for kinetisk energi. Det kan derfor sette:
(3.46)
ρ er massefaktoren. Ved å multiplisere massen med massefaktoren blir bevegelsesenergien lik den kinetiske energi for en ren translasjonsbevegelse. Massefaktoren tar dermed vare på de roterende massene, og følgende likning kan dermed settes opp for trekkraften:
(3.47)
a er akselerasjonen til toget. Det er verdt å legge merke til at massefaktoren er avhengig av den samlede masse m. Dette medfører at massefaktoren ikke vil være den samme for lastede og tomme vogner.
For lokomotivet oppgis massefaktoren av leverandøren. Den samlede massefaktoren for toget blir:
(3.48)
Indeksene LOK og VOGN står for henholdsvis lokomotiv og vogner.
I alminnelighet er det tilstrekkelig å benytte empiriske massefaktorer for vogner, lokomotiv og hele togsett.
Tabell 1: Massefaktorer for ulike typer materiell
| Materiell | Massefaktor ρ |
|---|---|
| Personvogner | 1,04 |
| Godsvogner | 1,02–1,10 |
| Diesellok | 1,05–1,30 |
| Elektriske lok | 1,05–1,30 |
| Elektriske motorvognsett | 1,03–1,13 |
| Elektriske lokomotivtog | 1,07–1,10 |
De roterende masser er tatt i betraktning ved at en massefaktor er blitt innført. Den dynamiske grunnlikning som settes sammen av en translasjonsbevegelse og rotasjonsbevegelse, kan dermed uttrykkes ved en ren translasjonsbevegelse på følgende måte:
(3.49)
Over en strekning med konstant akselerasjon blir uttrykket:
(3.50)
4.2 Akselerasjon i stigning og fall
Med utgangspunkt i likningen:
(3.51)
kan den akselerasjonen bestemmes som kan oppnås av et tog med samlet akslekraft PTOG ved en gitt hastighet i en stigning s:
(3.52)
Dersom det forutsettes at kurvemotstanden er neglisjerbar, kan følgende uttrykk utledes:
(3.53)
(3.54)
(3.55)
Det innføres:
(3.56)
(3.57)
(3.58)
(3.59)
På horisontal bane gjelder derfor:
(3.60)
I stigning gjelder:
(3.61)
I fall gjelder:
(3.62)
Med tilstrekkelig nøyaktighet kan det settes en gjennomsnittsverdi for massefaktoren:
(3.63)
Dermed blir:
(3.64)
Det kan da konkluderes med følgende:
(3.65)
(3.66)
(3.67)
Dersom toget på en horisontal bane akselerer fra en hastighet v1 til en annen hastighet v2 med akselerasjonen aHOR, kan akselerasjonsforholdene ved anvendelse av samme trekkraft i stigning eller fall med en gradient s utledes av de alminnelige bevegelseslikninger.
Akselerasjonstiden i stigning blir:
(3.68)
Akselerasjonstiden i fall blir:
(3.69)
Akselerasjonslengden i stigning beregnes:
(3.70)
(3.71)
Tilsvarende gjelder i fall:
(3.72)
4.3 Akselerasjonen begrenset av adhesjonsforholdene
Uansett hvor stor trekkraft som står til disposisjon, vil akselerasjonskraften være begrenset av den adhesjon som kan mobiliseres ved vedkommende hastighet. Grunnlikningen blir derfor:
(3.73)
Dermed kan det utledes:
(3.74)
(3.75)
(3.76)
Massefaktoren settes til 1,10. Da blir uttrykket:
(3.77)
(3.78)
Kvotienten:
(3.79)
kan betegnes som en akselerasjonsfaktor som angir akselkraften på de drevne aksler i forhold til togets samlede akselkraft.
På horisontal rett bane vil den spesifikke kjøremotstand bare bestå av grunnmotstanden w0. Ved lavere hastigheter vil grunnmotstanden være liten og det kan derfor tilnærmet settes:
(3.80)
Den maksimale akselerasjon framkommer når det er drift på alle aksler, dvs. at:
(3.81)
ved løslok eller motorvognsett som består bare av drevne aksler.
Da gjelder:
(3.82)
På horisontal rettlinjet bane ved lav hastighet:
(3.83)
Nedenfor er angitt tallverdier for akselerasjon som kan oppnås på horisontalt og rettlinjet spor:
| Togtype | Akselerasjon (m/s2) |
|---|---|
| Lokomotivtrukket persontog | 0,30–0,80 m/s2 |
| Godstog | 0,30–0,50 m/s2 |
| Motorvogntog | 0,50–1,20 m/s2 |
| S-bane, tunnelbane | 0,60–1,30 m/s2 |
| Sporvei | 0,80–1,50 m/s2 |
Moderne trekkaggregater har elektronisk regulering som tillater at adhesjonen kan utnyttes helt ut til adhesjonsgrensen uten å slire.
4.4 Akselerasjonsmotstand
I grunnlikningen framtrer den kraft som skal til for å akselerere i samme form som en kjøremotstand.
Akselerasjonsmotstanden blir:
(3.84)
Den spesifikke akselerasjonsmotstand kan uttrykkes som:
(3.85)
Grunnlikningen kan da skrives som:
(3.86)
(3.87)
Den spesifikke trekkraft blir:
4.5 Igangsetting
Under forutsetning av at lagerfriksjonen settes ut av betraktning, blir igangsettingskraften:
(3.89)
Det blir antatt en gjennomsnittlig akselerasjon for igangsetting av hele toget. Kan det tillates at kommer i bevegelse langsomt, velges en lav verdi. Er det viktig at toget kommer raskt i gang, må det benyttes en høyere verdi.
For godstog kan akselerasjonen under igangsetting bli satt så lavt som til:
(3.90)
Den spesifikke akselerasjonsmotstanden blir:
= 5,6 ‰
(3.91)
Erfaringsmessige verdier for akselerasjonsmotstanden inkludert lagerfriksjonen settes til 20 ‰ i startøyeblikket mens bare lokomotivet er i bevegelse. I det øyeblikket hele toget er kommet i bevegelse, er motstanden sunket til 10 ‰.
Ifølge denne antakelsen blir nødvendig trekkraft for å igangsette lokomotivet:
20‰)PLOK [N]
(3.92)
Det legges merke til at spesifikk motstand på grunn av kurvatur ikke er tatt i betraktning.
Deretter blir nødvendig trekkraft for å igangsette hele toget:
10‰)PLOK [N]
(3.93)
5 Toget under bremsing
Den kjøredynamiske grunnlikning gjelder også for bremsing.
Ved bremsing omsettes togets bevegelsesenergi til bremsearbeid. For å bremse toget er det nødvendig å etablere en kraft på hjulperiferien som er rettet mot kjøreretningen. Det kan settes opp følgende uttrykk:
(3.94)
Her betyr:
- FB er nødvendig bremsekraft [N]
- m er masse som skal bremses
- ρ er massefaktor
- r er retardasjonen [m/s2]
- W er togets kjøremotstand [N]
Det legges merke til at kjøremotstanden bidrar til å bremse toget.
5.1 Retardasjon i stigning og fall
Det blir antatt at bremsekraften FB er kjent. Da kan retardasjonen behandles på tilsvarende måte som akselerasjonen. Grunnlikningen er som kjent:
(3.95)
I en stigning med gradient s beregnes retardasjonen:
(3.96)
(3.97)
(3.98)
(3.99)
(3.100)
FDB er den disponible bremsekraft når grunnmotstanden regnes med og fDB er den spesifikke disponible bremsekraft regnet pr. enhet av togets samlede akselkraft.
Det kan i alminnelighet ikke stilles opp en entydig «bremsekraftkurve» for den samlede bremsevirkning tilsvarende trekkraftkurven. Det kan derfor ikke beregnes oppnåelig retardasjon generelt for forskjellige hastigheter. Det er nødvendig å benytte verdier for retardasjonen basert på forsøk og erfaring.
Retardasjonen på horisontal bane blir:
(3.101)
I stigning s blir retardasjonen:
(3.102)
I fall s blir retardasjonen:
(3.103)
Dersom toget på horisontal bane bremser ned fra hastighet v1 til v2 med en retardasjon rH, kan bremseforholdene ved anvendelse av samme bremsekraft i stigning eller i fall med gradient s beregnes med alminnelige bevegelseslikninger.
Bremsetiden ved stigning s:
(3.104)
Bremsetiden ved fall:
(
3.105)
Bremselengden ved stigning beregnes til:
(3.106)
(3.107)
Tilsvarende blir formelen for bremselengde i fall:
(3.108)
5.2 Retardasjon begrenset av adhesjonsforholdene
Også retardasjonskraften vil være begrenset av den adhesjon som kan oppnås av akselkraften på de bremsede aksler. I følge grunnlikningen blir bremsekraften:
(3.109)
(3.110)
Her betyr:
- PTOG er togets samlede akselkraft, også inkludert lokomotivet
- PB er akselkraften på togets bremsede aksler
- μB er adhesjonskoeffisienten ved bremsing
- r er retardasjonen
- ρ er massefaktoren
Adhesjonskoeffisienten er lavere ved låste hjul enn like før hjulene låses. Før hadde togene ikke ABS bremser slik at det ikke var tilrådelig å tøye seg for nære til det punkt hvor hjulene låses. Hvis hjulene låses, vil dette være meget skadelig for hjul og skinner. I dag er teknikken kommet lenger slik at det er mulig og tilrådelig å tøye seg lenger opp mot adhesjonsgrensen. Indeksen b på adhesjonskoefisienten har dermed ikke lenger samme betydning som tidligere.
Ovenstående likning kan utledes mht. på retardasjonen r:
(3.111)
(3.112)
Faktoren:
(3.113)
kalles bremsefaktoren og angir hvor stor del av togets samlede akselkraft som faller på de bremsede aksler.
På horisontal og rettlinjet bane behøver ikke kjøremotstanden å tas i betraktning ved lave hastigheter. Det kan da utledes:
(3.114)
Her betyr rH retardasjonen på en horisontal, rettlinjet bane.
Den største retardasjonsverdi framkommer når alle aksler er bremset, dvs. når:
(3.115)
Da gjelder:
(3.116)
På en horisontal, rettlinjet bane ved lav hastighet gjelder:
(3.117)
Uttrykket:
(3.118)
skal diskuteres.
Det utledes at retardasjonen blir lik 0 når:
(3.119)
Under forutsetning av at grunnmotstanden og kurvemotstanden neglisjeres, representerer ovennevnte et uttrykk en grense for hvor stort fallet s på linjen kan være før toget ikke kan stoppe. Dersom adhesjonskoeffisienten er 0,08, betyr dette at toget ikke klarer å stoppe dersom fallet på linjen er 80 ‰.
5.3 Bremselengder
Det tas utgangspunkt i en linje med fall lik s da dette tilfellet er dimensjonerende.
Ved bremsing fra hastighet v til full stopp i et fall s blir bremselengden:
(3.120)
Ved å sette inn uttrykket for rF iht. ligning 3.103 får vi:
(3.121)
Innsettes retardasjonsverdien for horisontal bane:
(3.122)
blir bremselengden:
(3.123)
Den maksimale hastighet ved gitt bremselengde LB beregnes:
(3.124)
Den nødvendige bremsefaktor kan beregnes ved gitt bremselengde og hastighet:
(3.125)
Av ovennevnte likninger framgår at:
(3.126)
og at:
(3.127)
når:
(3.128)
Det samme gjelder for bremsing på alle aksler, dvs. når:
(3.129)
ved:
for
(3.130)
Dersom fallet s blir større enn μB , kan toget ikke bremse uansett hastighet.
For praktisk jernbanedrift er det naturligvis nødvendig at bremsekravene uttrykkes i lett anvendelig form. Det kan benyttes empiriske formler som baserer seg på historiske forutsetninger og som det har vist seg hensiktsmessig å beholde. Begrepene bremset vekt og bremseprosent inngår.
Bremset vekt er et tallmessig uttrykk for summen av bremseegenskapene hos lokomotivet og de vogner som er utrustet med bremser. Grunnlaget for beregning av den bremsede vekt er fastsatt for de forskjellige vogntyper og bremseutrustninger. Tallverdiene inkluderer virkningen av kjøremotstand og massekoeffisient.
Et togs bremseprosent er det tall som angir togets bremsede vekt i prosent av togets bruttovekt.
Et hvert tog skal ha så mange virksomme bremser at bremseprosenten ikke blir mindre enn angitt i spesielle bremsetabeller. Bremseprosenten er angitt som funksjon av kjørehastighet og fall.
6 Sidekrefter mot sporet
Det skal nå gjøres visse betraktninger rundt følgende teamer:
- Sentrifugalkraft på sporet i kurver
- Avsporing av tog i kurver
- Velting
Dette er hendelser som normalt vil inntreffe i ovennevnte rekkefølge.
Sentrifugalkraft i kurver forårsaker en ukompensert sideakselerasjon i sporplanet. Avhengig av vognens rullvinkelkoeffisient oppstår en rullvinkelfaktor. Med hjelp av denne faktoren beregnes den kompenserte sideakselerasjon i vognkassen som funksjon av den ukompenserte sideakselerasjon i sporplanet. Størrelsen på den kompenserte sideakselerasjon i vognkassen er et uttrykk for komfort. Dette betyr at komfort blir en funksjon av sentrifugalkraften.
Avsporing vil inntreffe ved økende sentrifugalkraft.
Til slutt vil velting skje.
6.1 Horisontalkrefter mellom hjul og skinner
Den tradisjonelle teori for hjulsatsenes føring tar utgangspunkt i helt ideelle krefter uten hensyn til de dynamiske tilleggskrefter. Slike krefter oppstår bl.a. på grunn av unøyaktigheter i sporet.
Det alminnelige utgangspunktet for betraktningene over kraftforholdet mellom hjul og skinne er i følge denne teori en boggi eller eventuelt en to-akslet vogn med parallelle aksler lagret i en stiv ramme. Mellom hjulflens og skinnehode er det en viss klaring. På rett linje bør denne klaringen være minst 9 mm. I kurver bør klaringen være større.
På rett linje vil hjulkransens konisitet sentrere hjulsatsen slik at ingen av hjulflensene i alminnelighet berører skinnehodet. Hjulsatsen får dermed en sinusformet bevegelse i horisontalplanet.
I slake kurver vil heller ikke hjulflensen berøre skinnehodet da hjulsatsen fortsatt sentreres ved hjelp av konisiteten og av overhøyden i kurven. Hjulflensene trer i dette tilfelle normalt ikke i funksjon. Det er bare kontakt mellom hjul og skinne i hjulprofilets indre deler som består av hjulkransen. For en vogn som trafikkerer på en jernbanelinje som består av rette linjer og kurver med store radier, er det teoretisk ikke nødvendig med hjul med hjulflenser. Hjulflensene har i slike tilfeller funksjon som en sikkerhetsanordning ved feil i sporet.
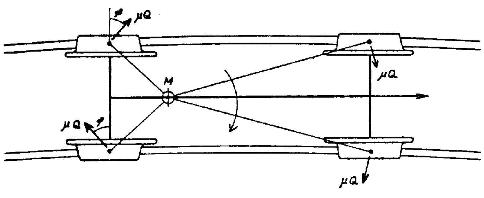
Under vognens løp i en kurve er hjulsatsen utsatt for en rettlinjet rullebevegelse i vognens lengderetning kombinert med en dreining i horisontalplanet om en pol M. Den polen kalles friksjonsmiddelpunktet. Polen ligger i alminnelighet mellom vognens midtpunkt og bakre aksel. Dreiningen forårsaker en glidning som gir friksjonskrefter i anleggspunktene fra hjul mot skinne. Det vises til figur 20.

I kurver med små radier ligger hjulflensen på det ledende hjul an mot skinnehodet med en horisontalt rettet styrekraft PA. Vognens dreining forårsaker fortsatt en glidning som gir friksjonskrefter. Det vises til figur 21.

Vinkelen α mellom rulleretningen og tangenten i anleggspunktet kalles anløpsvinkelen.
Det i den forbindelse nødvendig å skjelne mellom topunktsberøring og ettpunktsberøring.
Ved topunktsberøring ligger hjulflensen på det ledende hjul an mot skinnehodet i et punkt U. Dette punktet ligger foran og under tangeringspunktet A for rullesirkelen. I berøringspunktet U virker styrekraften PA. Vertikalkraften Q fordeles mellom punktene A og U, men kan tilnærmet antas å virke fullt ut i A. Dette er vist i figur 22.

Kraftvirkningen i horisontalplanet settes sammen av styrekraften og friksjonskreftene. For en vogn eller en boggi (2 aksler) kan mht. topunktsberøring tilnærmet settes opp følgende likninger med utgangspunkt i horisontalkreftene:
Aksel 1, ytre hjul:
(3.131)
Aksel 1, indre hjul:
(3.132)
Aksel 2, ytre hjul:
(3.133)
Aksel 2, indre hjul:
(3.134)
Styrekraften PA bevirker slitasje på skinnehodets vertikale sideflate og på selve hjulflensen til hjulet på akselen. Den resulterende horisontalkraft YA mot ytre skinne blir bestemmende for bøyningspåkjenningen i skinnesteget. Den samlede horisontalkraft S fra begge skinner overføres gjennom svillene til ballasten og er ansvarlig for sideforskyvning av sporet.
De horisontale svillekreftene blir:
Fra aksel 1:
(3.135)
Fra aksel 2:
(3.136)
Det påpekes at friksjonskreftene utgjør en betydelig del av horisontalkreftene.
I dag tilstrebes såkalt ettpunktsberøring. En slik berøring oppnås ved å minske anløpsvinkelen α og ved å redusere friksjonskoeffisienten μ samt å tilpasse utformingen av hjulprofil og skinneprofil til hverandre. Anløpsvinkelen reduseres ved innføring av større kurveradier i sporet og ved konstruksjonsmessig utforming av boggiene. Friksjonskoeffisienten reduseres ved flenssmøring.
Styrekraften og vertikalkraften angriper i samme punkt. Det vises til figur 23.

Ved ettpunktsberøring får det ledende hjul tilnærmet ren rulling. Vertikalkraften Q får en friksjonsvirkning i tangentplanet T-T, mens horisontalvirkningen blir ubetydelig. Horisontalkreftene ved forreste aksel blir tilnærmet:
Ytre hjul:
(3.137)
Indre hjul:
(3.138)
Svillekraft:
(3.139)
Når det negative bidraget fra friksjonskreftene reduseres, kan horisontalkreftene og den utadrettede svillekraft bli stor.
I slake kurver vil bakre aksel normalt ha fritt løp. Dette betyr at hjulflensene ikke berører skinnehodet.
I en kurve med liten radius kan hjulflensen på bakre indre hjul i en to-akslet vogn med stor akselavstand ligge an mot skinnehodet. Vognen løper dermed i spissgang. Det vises til figur 24.

Ved spissgang vil kraften fra bakre hjulsats mot indre skinne avlaste styrekraften PA.
6.2 Avsporingsfare
I foregående avsnitt er begrepene topunktsberøring og ettpunktsberøring innført. Når det er snakk om avsporing, vil det alltid være ettpunktsberøring mellom skinne og hjulflens. Det vises til figur 25.

I berøringspunktet vil det virke en vertikalkraft Q og en horisontalkraft Y.
Horisontalkraften blir:
(3.140)
Her betyr:
- Y = horisontalkraft (sentrifugalkraft)
- M = vognens masse
- v = hastighet
- R = radius i sirkelkurve
De 2 kreftene kan dekomponeres i et tangentialplan (glideplan) som danner vinkelen β i forhold til horisontalplanet og et plan normalt på tangentialplanet.
Det kan da utledes følgende uttrykk for normalkraften N normalt på tangentialplanet og kraften T i dette planet:
(3.141)
(3.142)
For å unngå avsporing gjelder følgende ulikhet:
(3.143)
Årsaken er at når hjulet ruller langs skinnene, må hjulflensen i berøringspunktet skli på skinnehodet. Dersom hjulflensen i dette punktet ikke sklir, vil hjulet bevege seg oppover på skinnehodet og det blir avsporing. Tangentialkraften må altså være større enn glidefriksjonskraften.
Med utgangspunkt i ovennevnte likninger kan det utledes:
(3.144)
(3.145)
(3.146)
(3.147)
Denne formelen kalles Nadals formel og angir grenseverdien for Y/Q. Er Y/Q større enn grenseverdien, blir det avsporing. Det vil derfor være gunstig å gjøre uttrykket på høyre side av ulikheten så stort som mulig. Det kan bli oppnådd ved å påvirke vinkelen β og adhesjonskoeffisienten μ. Det framkommer av uttrykket at grenseverdien øker når adhesjonskoeffisienten minker. En lavere adhesjonskoeffisient oppnås ved smøring av hjulflensen. Videre er det gunstig å øke vinkelen β. Det settes imidlertid en grense for hvor stor vinkelen kan bli. Den bør ikke bli større enn 70°. Dette skyldes komfort og slitasje.
Tidligere har det stort sett vært anvendt en flensvinkel på 60° som under slitasje nærmer seg 70°. I dag praktiseres flensvinkel på 70° for nydreide hjul.
I tabell 2 er angitt grenseverdier for forholdet Y/Q ved forskjellige verdier for friksjonskoeffisienten μ:
Tabell 2: Grenseverdier for forholdet Y/Q avhengig av friksjonsforhold
| β | μ = 0,40 | μ = 0,36 | μ = 0,30 | μ = 0,25 | μ = 0,17 | μ = 0 |
|---|---|---|---|---|---|---|
| 60° | 0,79 | 0,85 | 0,94 | 1,03 | 1,20 | 1,73 |
| 70° | 1,12 | 1,20 | 1,34 | 1,48 | 1,76 | 2,75 |
Tørre og rustne skinner gir høy friksjonskraft og øker dermed faren for avsporing. Flenssmøring bidrar til å øke sikkerheten mot avsporing og minsker samtidig slitasjen på hjulflens og skinnehodet.
Erfaring og forsøk viser at sikkerheten mot avsporing ved klatring er ivaretatt når forholdet mellom horisontalkraften og vertikalkraften på ytre hjul i ytre skinnestreng ved gjennomløp i kurver er mindre enn 1,2. For å bestemme hastigheten kan horisontalkraften settes lik sentrifugalkraften og vertikalkraften lik hjulkraften på førende ytre hjul.
Dette gir:
(3.148)
Likningen løst mht. v gir:
(3.149)
(3.150)
(3.151)
Betraktningen er på den sikre siden da hjulkraften er benyttet uten å ta hensyn til det kvasistatiske tillegget på grunn av omlagring av massen i kurver.
Denne beregnede hastighet for teoretisk avsporing er så høy at den normalt ikke kommer i betraktning. Hastighet mht. akseptabel komfort er mye lavere og derfor dimensjonerende.
Det er påvist at anløpsvinkelen har en betydning for avsporingsfaren. Moderne boggikonstruksjoner gjennomløper kurven radielt med små anløpsvinkler og den kritiske grenseverdi for avsporing ligger derfor mye høyere enn den grenseverdi som framkommer i Nadals formel.
6.3 Avsporingsfare i overgangskurver
Det forutsettes at toget kommer ut av en kurve med radius R. Det legges til grunn en stiv boggi som er en rammekonstruksjon med 4 hjul. Ved utgangen av kurven inn i overgangskurven finner det sted en nedbygging av overhøyden. Når det fremste hjulet i ytterstreng kommer ut av kurven, vil dette hjulet på grunn av nedbyggingen av overhøyden i overgangskurven og på grunn av stivhetsforholdene i boggikonstruksjonen «henge» litt i luften. Hjulet henger selvsagt ikke i luften, men det blir en avlastning på dette hjulet. Dette betyr at Q minker. I tillegg vil overhøyden føre til en kraftfordeling på hjulene.
Ved store hastigheter vil fjærene i boggien over ytterstreng trykkes sammen og fjærene over innerstreng strekkes.
Omvendt blir det ved lave hastigheter. Da blir det en avlastning på hjulene i ytterstreng. Resultatet er at selv om Y-kraften minker med hastigheten, vil Q-kraften minke enda mer. Dette fører til at forholdet Y/Q øker.
6.4 Velting
Teoretisk er det 2 måter et tog kan velte på. Enten oppstår velting ved stor hastighet om den ytre skinne eller ved lav hastighet om den indre skinne. For at toget skal velte om den indre skinne må vindkraften være meget stor. I tillegg må det være stor overhøyde i sporet og et høyt tyngdepunkt på vognen. Det skal bare betraktes velting om den ytre skinne. Det vises til figur 26.

Ved større hastighet enn likevektshastigheten reduseres overhøydens virkning noe fordi sentrifugalkraften gir vognkassen en krenging utover. Vognens samlede tyngdepunkt forskyves derved utover i en avstand e fra sporets senterlinje.
Veltefaren er større jo høyere tyngdepunktet ligger. For et lokomotiv ligger tyngdepunktet vanligvis ca. 2,0 m over sporplanet. For lastede godsvogner kan tyngdepunktet variere fra 1,0–3,0 m (bunntømmingsvogner) og for personvogner 1,0–1,7 m. Tyngdepunktets forskyvning e kan bli i størrelsesorden ca. 10 cm for lokomotiv og ca. 5 cm for godsvogner og personvogner.
I figur 26 er angitt dimensjonerende parametre. Det framgår at det er et veltende og et stabiliserende moment. Under forutsetning av at moment på grunn av vindkraft neglisjeres, blir det veltende moment:
(3.152)
Det stabiliserende moment er:
(3.153)
Det kan defineres en sikkerhetsgrad n mot velting som forholdet mellom stabiliserende moment mot veltende moment:
(3.154)
Her er:
(3.155)
(3.156)
Vanligvis kreves en sikkerhetsgrad lik 4,5.
7 Krefter mot sporet forårsaket av det rullende materiell
I dette og i de etterfølgende avsnitt skal begrepet kryp behandles. Kryp eller krypkrefter opptrer i forbindelse med framføring av det rullende materiell ved at det oppstår en relativ bevegelse mellom hjul og skinne. Slike bevegelser er bl.a. sliring ved akselerasjon og glidning ved bremsing.
7.1 Styrende krefter
Et fritt hjulpar vil alltid tendere å styre mot spormidt på et rett spor og å styre radielt gjennom en kurve. Dette medfører at det må virke krefter på hjulparet. Kreftene kan inndeles i:
- friksjonskrefter som er krypkrefter i kontaktflaten mellom hjul og skinne
- normalkrefter i samme kontaktflate
7.1.1 Kryp
Før krypkrefter skal studeres, kan det være hensiktsmessig for forståelsen av begrepet å beskrive de underliggende forhold som forårsaker kryp.
Dersom 2 virkelige legemer er i kontakt med hverandre, vil elastisk deformasjon til de 2 legemenes kontaktflater bevirke at kontakten blir spredd over et begrenset areal isteden for i et punkt. Dersom disse 2 kontaktflatene mellom de 2 legemene beveger seg i forhold til hverandre, blir det nettopp generert krefter som benevnes krypkrefter. I jernbanesammenheng medfører dette at hjul–skinne kontakten i berøringsområdet ved framføring av det rullende materiell bevirker krypkrefter. Den mikroskopiske glidningen som forårsaker disse kreftene, benevnes kryp.
Den enkleste måte å beskrive kryp er å studere langsgående kryp. Dersom et hjul ruller fritt langs en skinne, vil den tilbakelagte distansen ved en omdreining være lik omkretsen til hjulet. Dersom en vridning eller et vridningsmoment bevirker at hjulet ruller fortere, vil hjulet gli litt over skinnen. Den tilbakelagte distanse til hjulet ved en full omdreining blir da noe mindre enn omkretsen til hjulet. Dersom hjulet blir utsatt for større vridning, vil det bli full glidning. Hjulet vil da generere friksjonskrefter.
Kryp mellom et hjul og en skinne kan defineres ved uttrykket:
(3.157)
Her betyr:
- VR = hastigheten til skinnen i kontaktstien (skinnevandring)
- VW = hastigheten til hjulet på den samme kontaktstien (glidning)
- V = framføringshastigheten til det rullende materiell
Mht. langsgående kryp kan hastigheten til skinnen gjennom kontaktstien beregnes. Det vises til figur 27 og 28.

Dersom vridningsmomentet i hjulsettet blir som vist i figur 27, blir hastighetene:
(3.158)
for det venstre hjulet og:
(3.159)
for det høyre hjulet i betraktet i kjøreretningen.
I likiningene 3.158 og 3.159 angir l0 halve avstanden mellom kontaktpunktene hjul-skinne, mens ogrepresenterer glidnings- respektive vinkelhastigheten.
Glidningshastigheten til hjulet i kontaktstien er gitt i figur 28.

(3.160)
(3.161)
Det langsgående kryp for hjul-skinne berøringene kan beregnes. I likningene 3.160 og 3.161 angir rL og rR radius til venstre respektive høyre hjuls hjulbane i kontaktpunktet hjul-skinne.
For det venstre hjulet:
(3.162)
For det høyre hjulet:
(3.163)
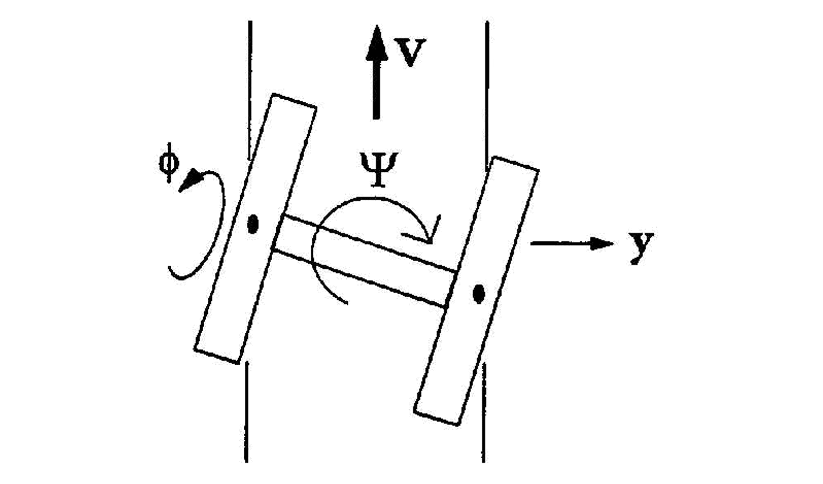
Lateralt kryp oppstår når hjulsettet blir tvunget til å bevege seg på en slik måte at det oppstår en vinkel som vist i figur 29.

Hastigheten i kontaktstien over selve skinnen er meget liten sammenlignet med de andre hastighetene. Det kan derfor gjøres den antakelse at hastigheten til skinnen gjennom kontaktpunktet er 0.
Den horisontale hastigheten til hjulet gjennom kontaktpunktet blir:
(3.164)
for venstre hjul og:
(3.165)
for høyre hjul.
Imidlertid blir kontaktstiene dreid horisontalt ved kontaktvinklene. Uttrykket for det laterale krypet blir da:
(3.166)
for venstre hjul og:
(3.167)
for høyre hjul.
Til nå er omtalt langsgående kryp og lateralt kryp. En tredje type av kryp forårsakes ved spinning eller dreiing av hjulsettet. Denne form for kryp er vanskeligst å beskrive. Kryp på grunn av spinning er en relativ vinkelhastighet mellom hjul og skinne normalt på kontaktplanet. Selvfølgelig kan skinnen ikke ha spinningshastighet gjenom kontaktstien. Parametre som bevirker spinning er vist i figur 30.

Hastighet mht. spinning til et hjul gjennom kontaktstien omkring en akse normalt på kontaktplanet har 2 komponenter. Den ene komponenten beskriver hastigheten i rotasjonsbevegelsen til hjulsettet i sporplanet og den andre komponenten uttrykker rotasjon i kontaktplanet.
Med utgangspunkt i figur 30 kan hastigheten på grunn av spinning beskrives for hhv. det venstre og det høyre hjulet:
(3.168)
(3.169)
Kryp på grunn av spinnet for 2 kontaktpunkter mellom hjul og skinne kan dermed uttrykkes:
(3.170)
(3.171)
Uttrykkene for kryp kan benyttes i en ikke-lineær analyse i kontaktpunktet mellom hjul og skinne. Dersom det er ønskelig å benytte en lineær analyse, må likningene omformes for dette. Det kan da gjøres følgende antakelser:
(3.172)
(3.173)
(3.174)
(3.175)
(3.176)
I likningene 174 og 175 betegner λ hjulets konisitet og y lateral bevegelse av hjulsettet.
Videre gjelder at produktet av 2 små faktorer er lik 0. Dette kan antas å være riktig for bevegelser av hjulsettet omkring dette settets midlere stilling.
Av de foranstående likninger kan det utledes følgende uttrykk for langsgående og lateralt kryp samt spinning.
Langsgående kryp:
(3.177)
(3.178)
Lateralt kryp:
(3.179)
(3.180)
Kryp på grunn av spinning:
(3.181)
(3.182)
Kontaktpunktet er utformet som en ellipseflate med halvaksene a og b. Den totale krypkraft kan beregnes ved likningen:
(3.183)
I tilfelle av full glidning gjelder:
(3.184)
Her er W den totale hjulkraft. Med andre ord ved full glidning er den totale krypkraft lik hjullasten.
Det vises til figur 31 og figur 32.


Under antakelse av lineære forhold kan det settes opp likninger mht. beregning av krypkrefter.
Langsgående krypkrefter:
(3.185)
Laterale krypkrefter:
(3.186)
Krypkrefter på grunn av spinning:
(3.187)
Koeffisientene f11, f22, f23 og f33 har blitt beregnet av Kalker og er avhengige av nettopp formen og størrelsen på den elliptiske kontaktflate mellom hjul og skinne. Den elliptiske kontaktflate har halvaksene a og b.
Under forutsetning av tverrkontraksjonen E til stålet kan følgende uttrykk etableres for koeffisientene:
(3.188)
(3.189)
(3.190)
(3.191)
C11, C22, C23 og C33 er funksjoner av forholdet a/b til den elliptiske flate og har blitt bestemt eksperimentelt av Kalker. Det påpekes at f33 er meget liten og at denne koeffisienten dermed neglisjeres.
I figur 33 er koeffisientene C11, C22 og C23 til Kalker vist under forutsetning av en tverrkontraksjon lik 0,3 for stålet.

7.1.2 Krypkrefter
Krypkreftene skal nå behandles mer inngående.
Friksjonskreftene i kontaktflaten mellom hjul og skinne oppstår ved samtidig rulling. Dette betyr at kontaktflatene forflytter seg hele tiden med hastigheten v langs sporet.
For at friksjonskreftene skal oppstå under samtidig rulling er det nødvendig at glidning dvs. kryp eksisterer mellom kontaktflatene.
I det etterfølgende skal begrepet kryp og de friksjonskrefter som beror på krypet, dvs. krypkrefter, beskrives i detalj.
For 2 legemer som ruller mot hverandre, hersker et bestemt forhold mellom friksjonskraften og de glidnings- og rotasjonsbevegelser som legemene utfører mot hverandre.
Bevegelsen på grunn av glidningen kan deles opp i komponenter i kjøreretningen og i tverretningen. Disse glidningsbevegelsene er alltid forbundet med samtidig rulling og benevnes kryp. Det eksisterer både langsgående kryp og laterale kryp. Det har framkommet at det er det prosentvise krypet som er avgjørende for størrelsen på friksjonskreftene. Med det prosentvise krypet menes forholdet mellom glidningshastigheten og kjørehastigheten. Friksjonskreftene kalles gjerne krypkrefter da de oppstår nettopp på grunn av krypet.
Det er ikke bare glidningshastigheten mellom 2 legemer som ruller mot hverandre som har betydning for krypkreftene. Også selve rotasjonshastigheten vinkelrett på kontaktflaten har innflytelse.
For et hjul som ruller på en fast skinne, defineres spinnet som koeffisienten mellom vinkelhastigheten for hjulets rotasjonsvektor vinkelrett mot kontaktflaten og hjulets hastighet.
Glidnings- og rotasjonsbevegelser i kontaktflaten mellom hjul og skinne er vist i figur 34.

Under forutsetning av at hjulet ruller med en hastighet v langs skinnen, kan det innføres følgende definisjoner:
- vξ = glidningshastighet i kjøreretning
- vη = glidningshastighet i tverretning
- ω = rotasjonshastighet mellom legemene i radianer/sekund
For beskrivelse av kryp og spinn kan det settes opp følgende matematiske relasjoner:
Langsgående kryp:
(3.192)
Lateralt kryp:
(3.193)
Spinning:
(3.194)
Krypets laterale og langsgående komponenter kan sammensettes til et resulterende kryp med en viss retning. Det resulterende kryp kan: uttrykkes ved:
(3.195)
Ulike teorier og empiriske formler har blitt utviklet for beregning av krypet og dermed de tilhørende kreftene. I de tilfeller hvor krypet er stort, er det blitt antatt at krypkraften er motsatt rettet krypets retning og tilsvarer verdien for den fulle oppståtte friksjon.
Forholdet mellom lateralt kryp og de resulterende laterale krefter er gitt i figur 35. Figuren viser det prinsipielle forløpet. Selve krypkraften er motsatt rettet krypet.

Av ovenstående figur er N normalkraften i kontaktflaten hjul-skinne,er den laterale krypkraft og friksjonskoeffisienten ved full friksjon uttrykkes ved μ. Ordinaten i figuren beskriver forholdet mellom den laterale krypkraft og normalkraften. Abscissen angir lateralt kryp i %, dvs. forholdet mellom glidningshastighet i tverretningen og kjørehastigheten.
Det framgår at den nedre delen av kurven er nesten lineær. Dette er av stor interesse da det muliggjør anvendelse av en lineær teori når krypet i lateral retning er lite. Det er også tydelig at ved stort kryp nærmer den laterale krypkraft seg den fulle friksjonskraft.
Dette kan uttrykkes ved følgende likning:
(3.196)
En generell teori for 2 elastiske legemer som ruller mot hverandre under tørre friksjonsforhold er utviklet. Kontaktflaten antas å være elliptisk. Følgende parametre inngår for bestemmelse av krypkreftene:
- Størrelsen på det resulterende kryp
- Retningen på det resulterende kryp i forhold til kjøreretningen
- Størrelse på spinnet
- Spinnets retning
- Koeffisienten a/b mellom ellipsens halvaksler i lengde- og tverretning hvor ellipsen beskriver kontaktflaten mellom hjul og skinne
- Tverrkontraksjonen uttrykt ved Poisson’s tall som antas lik for begge legemene
En gitt kombinasjon av parametre bestemmer entydig verdien fξ for krypkraftens langsgående komponent og likeledes verdien fη for krypkraftens laterale komponent. Dersom det forutsettes at det er den fulle friksjonskoeffisienten μ som gjelder og normalkraften i kontaktflaten er N, blir friksjonskraftens komponenter bestemt:
(3.197)
(3.198)
Det er en meget arbeidskrevende oppgave å beregne koeffisientene fξ og fη ved gitte parameterkombinasjoner.
Figur viser et krypkraftdiagram. Både kryp og spinn som inngår som parametre, er normert. Den normerte størrelsen for kryp bestemmes ved:
(3.199)
hvor normert krypstørrelse er gitt ved:
(3.200)
ρ er funksjon gitt ved de 2 legemens krumningsgeometri:
(3.201)
Rx1 og Ry1 beskriver det øvre legemets krumningsradier. Det øvre legemet er i dette tilfellet hjulet.
Rx2 og Ry2 er det nedre legemets dvs. skinnens krumningsradier.
μ er friksjonskoeffisienten.
c uttrykkes ved kontaktellipsens halvakser a og b:
(3.202)
Spinningen kan også normeres:
(3.203)
Her uttrykkes:
(3.204)
Diagrammene i figur 36 er alle blitt beregnet for et forhold mellom ellipsens halvakser a/b = 5 og med en tverrkontraksjon av stålet lik 0,30. Diagram a viser størrelsen av koeffisientene for et spinn lik 0. I diagram b er spinnet lik 0,75 og i diagram c er spinnet lik 8,0.
Noen interessante observasjoner kan gjøres:
- Dersom spinnet er lik 0, er krypkraften motsatt rettet krypet iht. figur a.
- Endog dersom krypet er lik 0, dannes på grunn av spinnets virkning en lateral krypkraft fη som er forskjellig fra 0.

Når den virkelige utnyttede friksjonen er mindre enn det som tilsvarer friksjonskoeffisienten, dvs. når:
(3.205)
skjer glidning bare i en del av kontaktflaten mellom hjul og skinne. Dersom et hjul blir påvirket av et dreiemoment MX, blir det dannet et kryp i langsgående retning og en tilsvarende krypkraft. Dette er vist i figur 37. Forholdet bevirker at det blir trykkspenninger i hjulmaterialet foran kontaktpunktet og strekkspenninger (dragspenninger) i bakkant.

I selve kontaktflaten finnes et adhesjonsområde og et glidningsområde. Dette er illustrert i figur 38.
Det framgår at ved full adhesjon gjelder:
(3.206)
Med andre ord er krypet og dermed krypkraften lik 0. Det er også tilfelle med spinnet. Friksjonskoeffisienten er også lik 0.
Ved delvis adhesjon og glidning gjelder følgende:
(3.207)
Det opptrer altså en krypkraft som er mindre enn den fulle friksjonskraft.
Ved ren glidning gjelder:
(3.208)
Dette betyr at opptredende krypkraft er lik friksjonskraften. Det vises til figur 38.

Det skal belyses noen viktige tilfeller hvor krypkrefter opptrer.
I figur 39 er vist et hjul under akselerasjon. Dreiemomentet er MX. Det framgår at hjulmaterialet bak kontaktpunktet blir utsatt for strekkrefter. Tilsvarende oppstår det trykkrefter i hjulmaterialet foran kontaktpunktet. Følgende betingelser gjelder:
(3.209)

I figur 40 er vist belastningen på et hjul i forbindelse med bremsing. Krypkraften er rettet bakover fordi glidningen dvs. krypet har retning i bevegelsesretningen. Det oppstår trykkrefter i hjulmaterialet bak kontaktpunktet og strekkrefter foran kontaktpunktet. Følgende betingelser gjelder:
(3.210)

Ved gjennomløp i kurver betraktes 2 situasjoner. Først er vist forholdet når hjulsatsen styrer gjennom kurven. Betegnelsene er vist i figur 41. Det framgår at det ytre hjulet må trekke hjulsatsen gjennom kurven, mens det indre hjulet må «bremse». Dette fordi det ytre hjulet må gjennomløpe en lengre vei enn det indre hjulet. For det ytre hjulet er krypkraften rettet forover og for det indre hjulet er krypkraften rettet bakover.

Følgende betegnelser gjelder:
- r H0 = nominell hjulradius
- R = kurveradius
- bH = halve sporvidde
- y = indeks for ytterhjul
- i = indeks for innerhjul
I forbindelse med styring av hjulsats gjennom kurve kan det settes opp følgende relasjoner:
(3.211)
og
(3.212)
og
(3.123)
For en hjulsats som ikke styres gjennom kurven kan det antas at rulleradien til begge hjulene i hjulsettet er lik nominell hjulradius. Dette medfører at det ytre hjulet må bremse og det indre hjulet må trekke hjulsatsen gjennom kurven. Det vises til figur 42.

Følgende relasjoner gjelder:
(3.214)
og
(3.215)
og
(3.216)
Ved gjennomløp i en kurve er det beskrevet 2 situasjoner iht. figurene 41 og 42. I det første tilfellet er beskrevet hva som skjer når forskjellen i rulleradius mellom hjulene blir større enn det som tilsvarer kurveradien. I det andre tilfellet er forskjellen i rulleradius mindre enn det som tilsvarer kurveradien.
De viste kryp og krypkrefter gjelder ved kvasistatiske forhold i en kurve. Med dette menes at krefter og forflytninger er konstante i tiden.
Det skal også beskrives et tilfelle når hjulparet vrir seg i forhold til sporet. Dette betyr at rulleretningen avviker fra bevegelsesretningen i kvasistasjonær tilstand. Det vises til figur 43.

Iht. figur 43 gjelder følgende relasjoner:
(3.217)
(3.218)
,
(3.219)
Ved vridning til den andre retninger gjelder iht. definisjoner:
(3.220)
(3.221)
,
(3.222)
Det vises til figur 44.

De viste tilfellene er meget viktige for å forstå hva som skjer i vognens løpeverk.
For at de kvasistasjonære tilfellene skal kunne inntreffe må hjulparet bli påvirket av ytre krefter. Slike krefter oppstår vanligvis på grunn av innspenning fra de rammeverk hvor hjulparet er mer eller mindre montert i avfjæret tilstand.
Ved nøyaktige beregninger av krypkrefter er det nødvendig å ta hensyn til spinnets innvirkning på krypkreftene.
Spinn oppstår vanligvis ved at kontaktflaten heller i forhold til horisontalplanet. Rotasjonsvinkelhastigheten kan uttrykkes:
(3.223)
Begrepet normert spinn er allerede innført og uttrykkes ved:
(3.224)
I figur 45 er vist spinn i kontaktflaten hjul–skinne. Følgende betegnelser gjelder:
- Ω = rotasjonsvinkelhastighet
- μ = vinkelen i kontaktflaten
- v = hastighet
Rotasjonshastigheten vinkelrett på kontaktflaten uttrykkes ved:
(3.225)
Spinnet kan uttrykkes:
(3.226)
Det vises til figur 45.

Spinnet kan under særlige omstendigheter påvirke størrelsen på krypkreftene.
I kontaktpunktet mellom hjul og skinne virker også normalkrefter. Det vises til figur 46.

I figuren betyr:
- N = normalkrefter
- Fν = krypkrefter
Dersom forskjellen i rulleradius mellom ytter- og innerhjul ikke er tilstrekkelig stor for å kompensere for den lengre veien som ytterhjulet må rulle, kan 2 hendelser inntreffe:
- Hjulsatsen kan spore av.
- Hjulflensen på ytterhjulets innside må ta over styringen i sporet.
Det defineres 3 tilfeller av hjulsatsens innstilling i sporet. Hjulsatsen kan ha en underradial posisjon, en radial posisjon og en overradial posisjon. Det vises til figur 47.

Ved en underradial posisjon til hjulsatsen har det ytre hjulet en positiv anløpsvinkel α mot den ytre skinnestrengen. Hjulsatsens vinkel i forhold til ideell innstilling er negativ og betegnes – Ψ.
De krefter som virker på flensen og som helt eller delvis styrer hjulparet gjennom kurven, beror på hjulparets innstilling i sporet.
I det etterfølgende skal det betraktes et hjul med flenskontakt mellom hjul og skinne sett rett fra siden og i et horisontalplan med snitt gjennom flensen i flenskontaktpunktet.

Ved underradial innstilling ligger flenskontakten foran sentrum i hjulakselen.
Det momentane vridningssenter for rullebevegelsen ligger normalt i sentrum av hjulakselen. Av den grunn kommer kontaktflaten på flensen til å bevege seg nedadrettet og bakover. Denne bevegelsen betegnes som kryp. Selve krypkraften på flensen er alltid motsatt rettet krypet. Krypkraften kommer derfor i dette tilfellet til å være oppadrettet og virke framover (ved underradial innstilling). Krypkraften medvirker derfor til en løftende virkning. Dette fører til at trykket på løpebanen minskes.
Ved radial innstilling vil krypkraften på flensen være rettet framover. Ved flenskontakt blir forskjellen i rulleradius så stor at betingelsen:
(3.227)
oppfylles i normale kurveradier. Det vises i denne sammenheng til figur 49.

Ved en overradial innstilling av hjulsatsen skjer det motsatte av hva som hender i tilfellet av underradial innstilling. Kontaktflaten på flensen er oppadrettet og beveger seg bakover. Denne bevegelsen betegnes som kryp. Krypkraften er motsatt rettet krypet og vil derfor trykke hardt ned på skinnen.
Ved store anløpsvinkler blir krypet og dermed krypkreftene på flensen meget store. Dette forholdet fører til stort energiforbruk, øket gangmotstand i kurver og fram for alt meget stor slitasje på hjulflens og skinnehode. Dette gjelder i særlig grad ved tørre og usmurte hjulflenser.
Det skal betraktes et hjulpar med positiv anløpsvinkel og flenskontakt for hjul i ytterstreng ved gjennomløp i kurve. Krefter som virker, er krypkrefter og normalkrefter. Det vises til figur 50.

Flenskontakten for det ytre hjulet i ytterstreng ligger på en så stor rulleradius i forhold til det indre hjulet i innerstreng at det oppstår krypkrefter. Iht. de betegnelser som gjelder i figur 50, vil krypkraften Fυξf på flensen for det ytre hjul være rettet framover. Tilsvarende vil krypkraften FυξI på løpebanen for det indre hjul i innerstreng være rettet bakover. På denne måten oppstår det et positivt dreiemoment på hjulsatsen som vil styre denne gjennom kurven. Det positive dreiemomentet som kraften Fυξf på hjulflensen forårsaker, blir i noen grad motvirket av den bakoverrettede krypkraften FυξY på hjulbanen til det ytre hjulet i ytterstreng. Denne kraften blir bakoverrettet fordi forskjellen i hjulradius til løpebanen mellom det ytre og indre hjulet er for liten til at hjulsatsen kan styres gjennom kurven.
På grunn av hjulsatsens underradiale stilling vil hjulets rulleretning ikke være identisk med bevegelsesretningen. Denne bevegelsesretningen til hjulsatsen bestemmes av sportangentens retning. Det vil av den grunn oppstå et lateralt kryp υη som gir laterale krypkrefter på indre og ytre hjul på hjulsatsen. Disse kreftene kan betegnes FυηY og FυηI. Disse krypkreftene vil forsøke presse hjulsatsen hardt mot ytterstreng i kurven ved gjennomløp.
De laterale krypkrefter og eventuelle sentrifugalkrefter skal balanseres av den laterale flenskraften som kan betegnes FYf.
Denne laterale flenskraften FYf settes sammen av hjulflensens normalkraft Nf og hjulflensens krypkraft med respektive komponenter i horisontal retning:
(3.228)
I dette eksempelet er det forutsatt topunktskontakt på hjulet på ytre skinnestreng i kurven. Dette medfører kontaktpunkt for hjulflensen og løpebanen mot skinnehodet. Det må bemerkes at for et hjul med slitasjeformet tilpassing skjer det en kontinuerlig overgang fra løpebanen til flensen til hjulet.
Med bare et kontaktpunkt kan hjulsatsen som regel lettere innstille seg ved gjennomløp i kurve slik at energiforbruket reduseres.
Med 2 kontaktpunkter samtidig er det ikke mulig at rulleradien for begge kontaktpunktene kan innstille seg ideelt etter kurveradien. Dette forklarer også hvordan krypkrefter oppstår.
Generelt kan det bemerkes at topunktskontakt gir noe dårligere styreforhold ved gjennomløp samt noe større energiforbruk og slitasje enn berøring i et punkt mellom hjulflens og skinnehodet.
Litteraturhenvisniger
- Institutt for veg- og jernbanebygging – Kompendium i jernbaneteknikk (1993).
- AEA TECHNOLOGY – Railway vehicle dynamics, (nov. 1998).
- Evert Anderson – Samvärkan fordon/bana, forelesningsnotat NBIU (1993).